教师信息管理系统 TIMS #Demo Guide
- 合适的现代浏览器。请使用: EdgeHTML 17 Chromium 76 Safari 9 Opera 64 以上版本浏览,不然真的很丑。
- 互联网连接。 为减小不必要的空间占用,项目使用图床托管,首次加载需要互联网连接。 从这里开始:
- 新建数据库,名称“tims”,用户“Hank”(注意大小写),密码“123456”。
- 将sql/tims.sql导入到数据库中。
- 启动PHP,通过服务器访问 index.html 来开始。
一些题外话: 1、「dashboard-test」是刚开始时的废案,现作为操场(playground)项目,小窗口让网页更加桌面化,工作台现在可移动了。操场项目引用了开源代码。
单引号「」标识div、注释、列名等小型内容块。
双引号『』标识页面,表名等文件型。
主界面新增「提示板 noticepad」。
「noticepad」能够显示当前用户、提示板块功能、说明操作指南。
识别到未登录访问内部页面时,将强制跳转回『login.php』。
解决了『仪表盘』不能调用「$_SESSION」变量中「user_id」的问题。(定位于『dashboard.php』 「控制登录」注释、提示板)
解决了把页面从 html 变成 php 通过 localhost 访问的同时,由于浏览器缓存,CSS 样式表不能更新,无法调试的问题。(定位于『login.php』引用样式表行)
分离了「提示板」和「工作台」。
优化了『dashboard.php』的页面结构,增加「contentflow」来固定右侧内容流的版式。
从『login.php』提出了部分代码到『conn.php』来复用数据库连接代码。
优化了顶栏的边距,与内容区的「文字」边线对齐,而不是内容区本身的边线。视觉上更加和谐。
用户现在可以从『仪表盘』登出了。
所有页面新增了「版权」栏目。
6月23日已修复-页面背景可能在低缩放率出现 repeat 的情况。
借助于 JQuery easing 库,动效得到升级,现在登录、尤其是登出的衔接更加连贯,且符合现实世界的物理规律了。
限制了登出操作仅在『仪表盘』,来防止误操作和数据丢失。
新增『教师一览』页面。可以正常工作。
新增『教师管理』页面,尚不能工作,也没有优化。
『教师一览』表格不美观。
动效升级,现在登录的动画也同样优雅了。
从早到晚不停写:完成了当前规划的所有主要功能——
『教师管理』中:
下拉框的选项内容从数据库获取,并默认显示当前教师登记的内容。
现在可以提交教师信息的修改。
现在填写 ID 可以直达管理教师信息了。
多条件混合搜索完成,通过姓名,部门等条件快速搜索教师了。
管理员密码现在支持修改了,在keyup、submit时进行动态验证。
已于6月20日解决——但CSS文件仍然很乱
『教师管理』中的填写框更符合内容了。(日期可以直接从万年历选择,固定内容可以下拉选择)
直接访问『教师管理』的操作现在可以被识别并强制后退了。(BOM)
统一了填写框和提交按钮的视觉效果。
复习日。
通过 LIKE 关键字扩展了模糊搜索,现在搜索可以只填写“可”而非强制“瀚可”了。
整理所有文件。
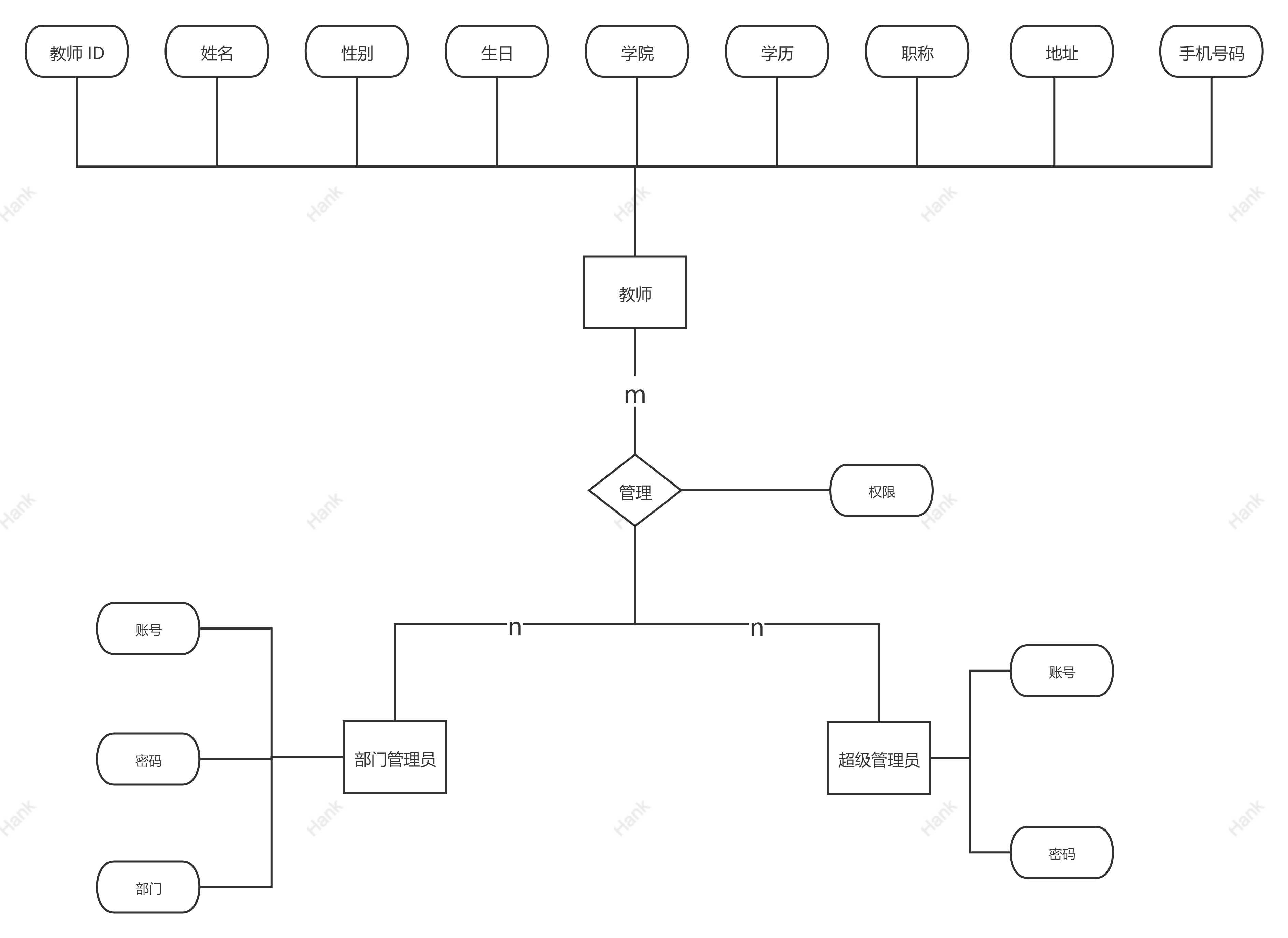
超级管理员可以创建部门管理员,部门管理员只能管理相对应的部门教师信息。但仍可查看全体教师信息。
新增『authorization.php』来统一认证。
新增『did_name.php』来统一各页面中部门id到部门名的互相转化。
现在,超级管理员 可以在前端添加 部门管理员 了。
####优化:
不再按页面建立 CSS 文件,而是如“表格”“小部件”“通用”分类。
现在页面元素的风格更加统一。同时,表的引用更加直观,易于管理了。
现在,『changepw.js』 『add_user.js』已被整合到『formcheck.php』。
规范了 『formcheck.js』的变量名称,减少 Debug 工作量。
现在,文件的名称亟待统一。目标是对于页面内元素和所有变量,采用“驼峰命名法”。带来的问题是之前所有内容可能需要重新检查。
所有功能都已经完成
现在超级管理员可以浏览所有子管理员的信息了。
可以修改子管理员的部门信息。
可以在前端删除子管理员账号。
超管现在可以在 「功能列表板」发现以上功能了。
现在管理员可以删除教师条目了。(在24日被更改)
教师信息新增/编辑、密码修改 都增加了表单验证。(tcheck 分离来自 formcheck)
权限现已优化,如超管不能创建超管,也不能编辑其他人成为超管。
更改教师 ID 所导致的一系列问题现已修复。
根据答辩要求做出一些修改
教师现在拥有在校状态的属性了。
处于 离校 状态的教师不再显示在『教师一览』中。
现在,密码将以md5()形式存放,不再保存原密码在数据库中了。
将删除操作定义为离校、






