DIGITAL COMMUNICATION • Coherent and Non-coherent detection of ASK, FSK AND QASK NAIMISH M. PATEL (140053111017)
Detection Coherent detection Non-coherent detection
Coherent Detection • An estimate of the channel phase and attenuation is recovered. It is then possible to reproduce the transmitted signal and demodulate. • Requires a replica carrier wave of the same frequency and phase at the receiver. • The received signal and replica carrier are cross-correlated using information contained in their amplitudes and phases. • Also known as synchronous detection
• Applicable to – Phase Shift Keying (PSK) – Frequency Shift Keying (FSK) – Amplitude Shift Keying (ASK)
Non-Coherent Detection • Requires no reference wave; does not exploit phase reference information (envelope detection) – Differential Phase Shift Keying (DPSK) – Frequency Shift Keying (FSK) – Amplitude Shift Keying (ASK) – Non coherent detection is less complex than coherent detection (easier to implement), but has worse performance.
Amplitude Shift Keying (ASK) Baseband Data ASK modulated signal 1 10 0 Acos(t) Acos(t) Pulse shaping can be employed to remove spectral spreading ASK demonstrates poor performance, as it is heavily affected by noise, fading, and interference
COHERENT DETECTION OF ASK ASK+Noise Integrator Sample And Hold Synchronous carrier Comparator Binary Signal Reference Voltage V Bit sync Coherent ASK receiver
NON-COHERENT DETECTION OF ASK BPF Envelope detector Regenerator ASK + Noise Original Binary Output Bit Sync V Non-coherent ASK receiver
• Bandpass Filter • Envelope Detector • Regenerator
Frequency Shift Keying (FSK) Baseband Data BFSK modulated signal where f0 =Acos(c-)t and f1 =Acos(c+)t f0 f0f1 f1 1 10 0
COHERENT DETECTION OF FSK 0 ∫ Tb dt Threshold of 0 volts Decision Device 0 ∫ Tb dt + X X O/P X1 X2 X3 X(t) Received BFSK signal Correlator 1 Correlator 2 U1(t) or ɸ1(t) U2(t) or ɸ2(t) + - Coherent BFSK receiver
• Multiplier • Integrator • Sample and Hold • Comparator If, o/p < V , then signal is 0. o/p > V , then signal is 1.
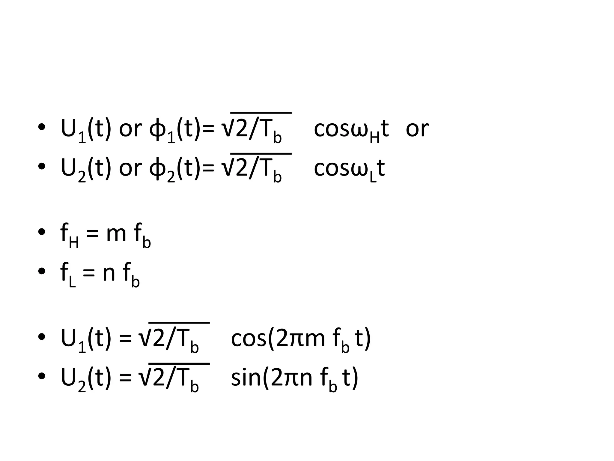
• U1(t) or ɸ1(t)= √2/Tb cosωHt or • U2(t) or ɸ2(t)= √2/Tb cosωLt • fH = m fb • fL = n fb • U1(t) = √2/Tb cos(2πm fb t) • U2(t) = √2/Tb sin(2πn fb t)
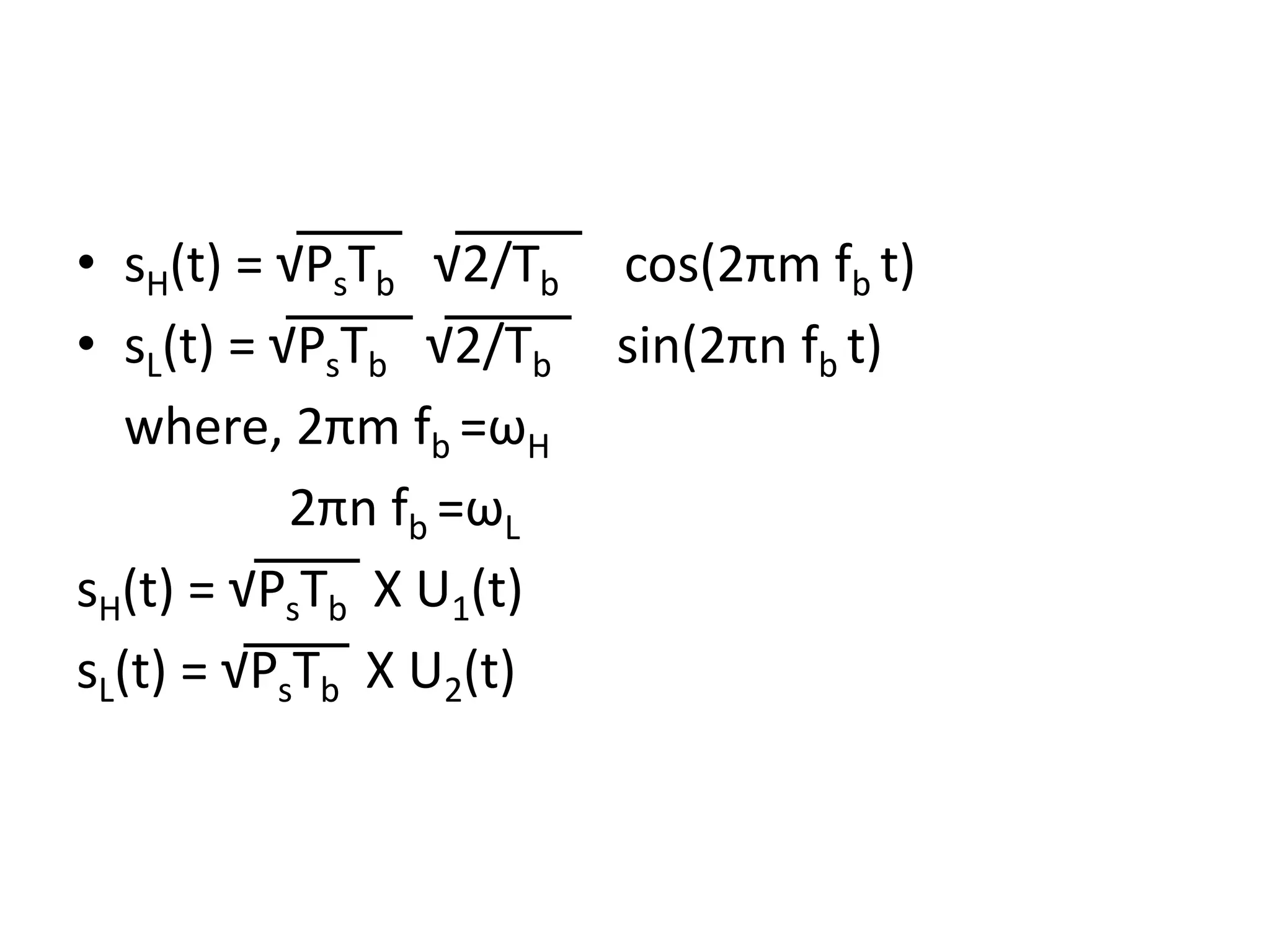
• sH(t) = √PsTb √2/Tb cos(2πm fb t) • sL(t) = √PsTb √2/Tb sin(2πn fb t) where, 2πm fb =ωH 2πn fb =ωL sH(t) = √PsTb X U1(t) sL(t) = √PsTb X U2(t)
NON-COHERENT DETECTION OF FSK Filter Matched To √2/Tb cos(2πfLt) X(t) Comp- rator Envelope detector Filter Matched To √2/Tb cos(2πfHt) Envelope detector Received BFSK signal X2 X1 Sample at t=Tb Sample at t=Tb output Non-coherent BFSK receiver
QASK Receiver Raise i/p to 4th power Band- Pass Filter 4fc Frequ- ency divider ÷4 0∫Tsdt 0∫Tsdt A/D conv A/D conv Parallel To Serial converter X X b3 b2 b1 b0 Bit Sequence b(t) Ae(t) Ao(t) cos ωc t sin ωc t VQASK(t)=√PsAe(t) cosωc t+√PsAo(t) sinωc t QASK Receiver Carrier Recovery circuit

Coherent and Non-coherent detection of ASK, FSK AND QASK

  • 1.
    DIGITAL COMMUNICATION • Coherentand Non-coherent detection of ASK, FSK AND QASK NAIMISH M. PATEL (140053111017)
  • 2.
  • 3.
    Coherent Detection • Anestimate of the channel phase and attenuation is recovered. It is then possible to reproduce the transmitted signal and demodulate. • Requires a replica carrier wave of the same frequency and phase at the receiver. • The received signal and replica carrier are cross-correlated using information contained in their amplitudes and phases. • Also known as synchronous detection
  • 4.
    • Applicable to –Phase Shift Keying (PSK) – Frequency Shift Keying (FSK) – Amplitude Shift Keying (ASK)
  • 5.
    Non-Coherent Detection • Requiresno reference wave; does not exploit phase reference information (envelope detection) – Differential Phase Shift Keying (DPSK) – Frequency Shift Keying (FSK) – Amplitude Shift Keying (ASK) – Non coherent detection is less complex than coherent detection (easier to implement), but has worse performance.
  • 6.
    Amplitude Shift Keying(ASK) Baseband Data ASK modulated signal 1 10 0 Acos(t) Acos(t) Pulse shaping can be employed to remove spectral spreading ASK demonstrates poor performance, as it is heavily affected by noise, fading, and interference
  • 7.
    COHERENT DETECTION OFASK ASK+Noise Integrator Sample And Hold Synchronous carrier Comparator Binary Signal Reference Voltage V Bit sync Coherent ASK receiver
  • 8.
    NON-COHERENT DETECTION OFASK BPF Envelope detector Regenerator ASK + Noise Original Binary Output Bit Sync V Non-coherent ASK receiver
  • 9.
    • Bandpass Filter •Envelope Detector • Regenerator
  • 10.
    Frequency Shift Keying(FSK) Baseband Data BFSK modulated signal where f0 =Acos(c-)t and f1 =Acos(c+)t f0 f0f1 f1 1 10 0
  • 11.
    COHERENT DETECTION OFFSK 0 ∫ Tb dt Threshold of 0 volts Decision Device 0 ∫ Tb dt + X X O/P X1 X2 X3 X(t) Received BFSK signal Correlator 1 Correlator 2 U1(t) or ɸ1(t) U2(t) or ɸ2(t) + - Coherent BFSK receiver
  • 12.
    • Multiplier • Integrator •Sample and Hold • Comparator If, o/p < V , then signal is 0. o/p > V , then signal is 1.
  • 13.
    • U1(t) orɸ1(t)= √2/Tb cosωHt or • U2(t) or ɸ2(t)= √2/Tb cosωLt • fH = m fb • fL = n fb • U1(t) = √2/Tb cos(2πm fb t) • U2(t) = √2/Tb sin(2πn fb t)
  • 14.
    • sH(t) =√PsTb √2/Tb cos(2πm fb t) • sL(t) = √PsTb √2/Tb sin(2πn fb t) where, 2πm fb =ωH 2πn fb =ωL sH(t) = √PsTb X U1(t) sL(t) = √PsTb X U2(t)
  • 15.
    NON-COHERENT DETECTION OFFSK Filter Matched To √2/Tb cos(2πfLt) X(t) Comp- rator Envelope detector Filter Matched To √2/Tb cos(2πfHt) Envelope detector Received BFSK signal X2 X1 Sample at t=Tb Sample at t=Tb output Non-coherent BFSK receiver
  • 16.