International Journal of Electrical and Computer Engineering (IJECE) Vol. 14, No. 3, June 2024, pp. 2422~2435 ISSN: 2088-8708, DOI: 10.11591/ijece.v14i3.pp2422-2435  2422 Journal homepage: http://ijece.iaescore.com Use of analytical hierarchy process for selecting and prioritizing islanding detection methods in power grids Mohammad Abu Sarhan, Andrzej Bien, Szymon Barczentewicz Department of Power Electronics, Faculty of Electrical Engineering, AGH University of Krakow, Krakow, Poland Article Info ABSTRACT Article history: Received Oct 2, 2023 Revised Jan 12, 2024 Accepted Feb 7, 2024 One of the problems that are associated to power systems is islanding condition, which must be rapidly and properly detected to prevent any negative consequences on the system's protection, stability, and security. This paper offers a thorough overview of several islanding detection strategies, which are divided into two categories: classic approaches, including local and remote approaches, and modern techniques, including techniques based on signal processing and computational intelligence. Additionally, each approach is compared and assessed based on several factors, including implementation costs, non-detected zones, declining power quality, and response times using the analytical hierarchy process (AHP). The multi-criteria decision-making analysis shows that the overall weight of passive methods (24.7%), active methods (7.8%), hybrid methods (5.6%), remote methods (14.5%), signal processing-based methods (26.6%), and computational intelligent-based methods (20.8%) based on the comparison of all criteria together. Thus, it can be seen from the total weight that hybrid approaches are the least suitable to be chosen, while signal processing-based methods are the most appropriate islanding detection method to be selected and implemented in power system with respect to the aforementioned factors. Using Expert Choice software, the proposed hierarchy model is studied and examined. Keywords: Analytical hierarchy process Expert Choice Islanding detection Multi-criteria decision making Power grids This is an open access article under the CC BY-SA license. Corresponding Author: Mohammad Abu Sarhan Department of Power Electronics, Faculty of Electrical Engineering, AGH University of Krakow Aleja Adama Mickiewicza 30, Krakow, 30-059, Poland Email: sarhan@agh.edu.pl 1. INTRODUCTION Recently finding alternative renewable energy sources to be used in place of conventional power systems and developing new technologies that can be employed in electricity production are both of utmost importance. Due to the advantages that can be provided, such as lowering the upgrade of transmission and distribution capacity, reducing distribution system losses, and improving system power quality, the implementation of distributed generations (DGs), including solar modules, wind turbines, and synchronous generators in power systems is significantly increasing. On the other hand, when operating DGs; several factors including islanding circumstances that may have a detrimental effect on the system must be taken into account. This islanding phenomena occurs when the DGs experience a loss of grid, or electrical connection to the primary utility grid, yet continue to provide electricity to the rest of the system [1]. As a result, this phenomenon has a number of negative side effects on the network, including the possibility of system parameters outside of acceptable limits, the failure of protective devices, potential harm to maintenance personnel due to the continued operation of DGs, and potential damage to prime movers from the mechanical
Int J Elec & Comp Eng ISSN: 2088-8708  Use of analytical hierarchy process for selecting and prioritizing islanding … (Mohammad Abu Sarhan) 2423 torque brought on by instantaneous reclosing. Therefore, it is crucial to quickly, correctly, and effectively detect the islanding. Numerous islanding detection methods (IDMs) have been put forth and grouped into four categories: local techniques (passive, active, and hybrid); remote techniques; approaches based on signal processing; and computationally intelligent techniques [2]–[6]. When choosing the most suitable technique to be implemented in the system, various criteria must be taken into account because each method has advantages and disadvantages over the others. Therefore, it is crucial to develop a simplified way for determining which islanding detection technology is the most suitable for integration into the system. Multi- criteria decision analysis (MCDA) is a good tool that can be used to solve this problem. However, depending on the type of DG units and their connection topologies, the choice of IDM is very flexible. The selection of islanding-detection techniques is influenced by several criteria, including the location of distributed generation, the lifespan of distributed generation generators, and future expandability. The short circuit capacity at point of common coupling (PCC), energy conversion/processing methods, DG unit capacity/size, regulatory concerns enforcing requirements, and other factors can also have a considerable impact, either directly or indirectly, on the choice of anti-islanding strategies. The proper selection of IDMs also involves several additional considerations. There are many IDMs available, but none of them is perfect. Consequently, a major concern is utilizing a suitable technique to assess various IDM types to determine their applicability and to make future projections. Uncertainty prevents deterministic values from adequately accounting for the constraints (criteria) of various IDM selection as well as the interactions between the constraints. Decision- makers find it challenging to handle without a great deal of experience. When a decision needs to be made after considering numerous, opposing, and negative evaluations, MCDA is employed. These conflicts will be brought to light, and a suitable strategy will be developed to produce a transparent procedure. The evaluation procedure in the area of power systems has already utilized MCDA. There are numerous MCDA techniques that can be utilized to address some issues in this area, including but not limited to the analytical hierarchy process (AHP), elimination and choice expressing reality (ELECTRE), fuzzy sets, and evacuation management decision support system (EMDSS). Various commonly utilized IDMs: ratio of change of frequency (RCF), phase jump detection (PJD), harmonic detection (DH), impedance measurement (IM), slip-mode frequency shift (SMS), and Sandia frequency shift (SFS), were examined using AHP in [7]. Both passive and active methods can be applied to those techniques. However, no investigation was done on the other primary islanding detection categories. Additionally, it was noted that there was a deficiency in the research conducted to date to identify a selection methodology that could be used to the analysis of all significant islanding detection techniques, particularly those based on signal processing and computational intelligence. Hence, this paper examines all the primary categories for islanding detection to show how applicable AHP is to anti-islanding selection issues. This work's outcome is accurate and efficient in comparison to the studies that were carried out. But in this work, only the primary four criteria were considered. More criteria in the future, such as load type, dependability, applicability in the event of multi-inverters, and sensitivity to cyber-attack, can be taken into consideration, once there are sufficient studies covering those criteria accurately. Two categories of islanding detection techniques were compared; conventional techniques, which include local and remote techniques, and modern methods, which include techniques based on signal processing and computational intelligence. Each solution is analyzed and evaluated using the AHP based on several factors, including implementation costs, non-detected zones, power quality, and response times. As a result, when the implementation cost requirement is the only consideration, then passive techniques are the best choice. Selecting methods based on computational intelligence or signal processing is the best course of action when the non-detected zone criterion is the only consideration. If the primary consideration is the required level of power quality, then the best options are those that are passive, remote, computationally intelligent, or based on signal processing. If the response time criterion is the only consideration, then the best options to choose are those that rely on passive or signal processing. Nonetheless, passive and signal processing-based approaches might be the best options provided these aspects are considered. There are seven sections of the work that is being presented. The primary various types of islanding detection techniques are examined in section 2. The selection criteria are described in section 3. The design and process study of decision analysis are explained in section 4. The simulation based on expert choice software is covered in section 5. The results and discussion are presented in section 6. The last section states with a conclusion. 2. ISLANDING DETECTION METHODS Local approaches (passive, active, and hybrid), remote methods, signal processing-based methods, and computationally intelligent-based methods are the four primary groups into which islanding detection techniques fall. The operation of passive methods relies on tracking changes in system characteristics at the point of common coupling (PCC). Active techniques alter various network injections, and the effect of the
 ISSN: 2088-8708 Int J Elec & Comp Eng, Vol. 14, No. 3, June 2024: 2422-2435 2424 injection on the system parameters is then examined. Active and passive techniques are used in hybrid methods. The foundation of remote techniques is the gathering and exchange of data between the utility and distributed generator (DG) sides. The foundation of how signal processing-based techniques work is the extraction of system features. Methods based on computational intelligence operate through data training and pattern recognition. The methods used to identify islanding detection are briefly described here. 2.1. Passive methods System variables like voltage, frequency, current, power, or impedance are measured at the PCC when passive methods are used in the system. The values of these parameters will fall within acceptable ranges in the case of normal operation. The values of these parameters will, however, fluctuate and go above the allowable threshold levels when islanding occurs. The protection relays that trip the main circuit breakers to prevent the islanding action are used to examine and detect these fluctuations. Figure 1 depicts the process involved in passive islanding detection. The term “passive methods” refers to a variety of strategies, including voltage imbalance (VU), over/under voltage protection (O/UV), over/under frequency protection (O/UF), rate of change of frequency (ROCOF), rate of change of active and reactive power (ROCOP), and rate of change of frequency (ROCOF), rate of change of active and reactive power (ROCOP), voltage unbalance (VU), and phase jump detection (PJD) [8]–[10]. 2.2. Active methods An external, tiny disturbance signal is injected into the DG output when active methods are used in the system. Due to this injection, the system parameters will fluctuate and go above the permitted ranges while the system is in an islanding condition. Figure 2 depicts the steps necessary for active islanding detection. Numerous techniques fall under the category of active methods, including the active frequency drift method (AFD), the Sandia frequency shift method (SFS), the Sandia voltage shift method (SVS), the impedance measurement method (IM), the slip mode frequency shift method (SMFS), and the frequency jump method (FJ) [11]–[14]. Figure 1. Flowchart of passive islanding detection methods Figure 2. Flowchart of active islanding detection methods 2.3. Hybrid methods Passive and active methodologies are used to create hybrid approaches. Hybrid method implementation is accomplished in two parts. A passive strategy is used in the initial step primarily to identify the islanding. An active method is utilized to precisely detect the islanding if it is still there after the first step has been applied. Figure 3 depicts the steps necessary for hybrid islanding detection. Numerous techniques, including the voltage imbalance and frequency set-point method, the voltage and actual power shift method, the voltage fluctuation injection technique, the hybrid Sandia frequency shift and Q-f technique, are included in hybrid methods [15]–[17].
Int J Elec & Comp Eng ISSN: 2088-8708  Use of analytical hierarchy process for selecting and prioritizing islanding … (Mohammad Abu Sarhan) 2425 Figure 3. Flowchart of hybrid islanding detection methods 2.4. Remote methods The utility side and the DG side must communicate for remote approaches to work. The islanding is identified based on the utility's state of the circuit breakers. The DG unit is then triggered by providing the appropriate tripping signal. The term “remote methods” refers to a variety of techniques, including power line carrier communication (PLCC), signal produced by disconnect (SPD), supervisory control and data acquisition (SCADA), transfer trip scheme, impedance insertion method, and phasor measuring unit [18], [19]. 2.5. Signal processing-based methods Signal processing approaches are applied to lower the non-detection zone (NDZ) of passive methods in islanding detection. These techniques have the additional benefit of being able to extract the voltage, frequency, and current hidden aspects of the recorded signals at PCC when compared to passive methods. The acquired features can then be utilized as input to a classification approach like artificial intelligence or machine learning to determine if the system functions in an islanding situation or not. Figure 4 depicts the steps necessary for signal processing-based islanding detection. The Fourier transformer method, Wavelet transformer method, S-transformer method, and time-time transformer method are only a few examples of the numerous signal processing-based techniques [20]–[22]. Figure 4. Flowchart of signal processing-based islanding detection methods
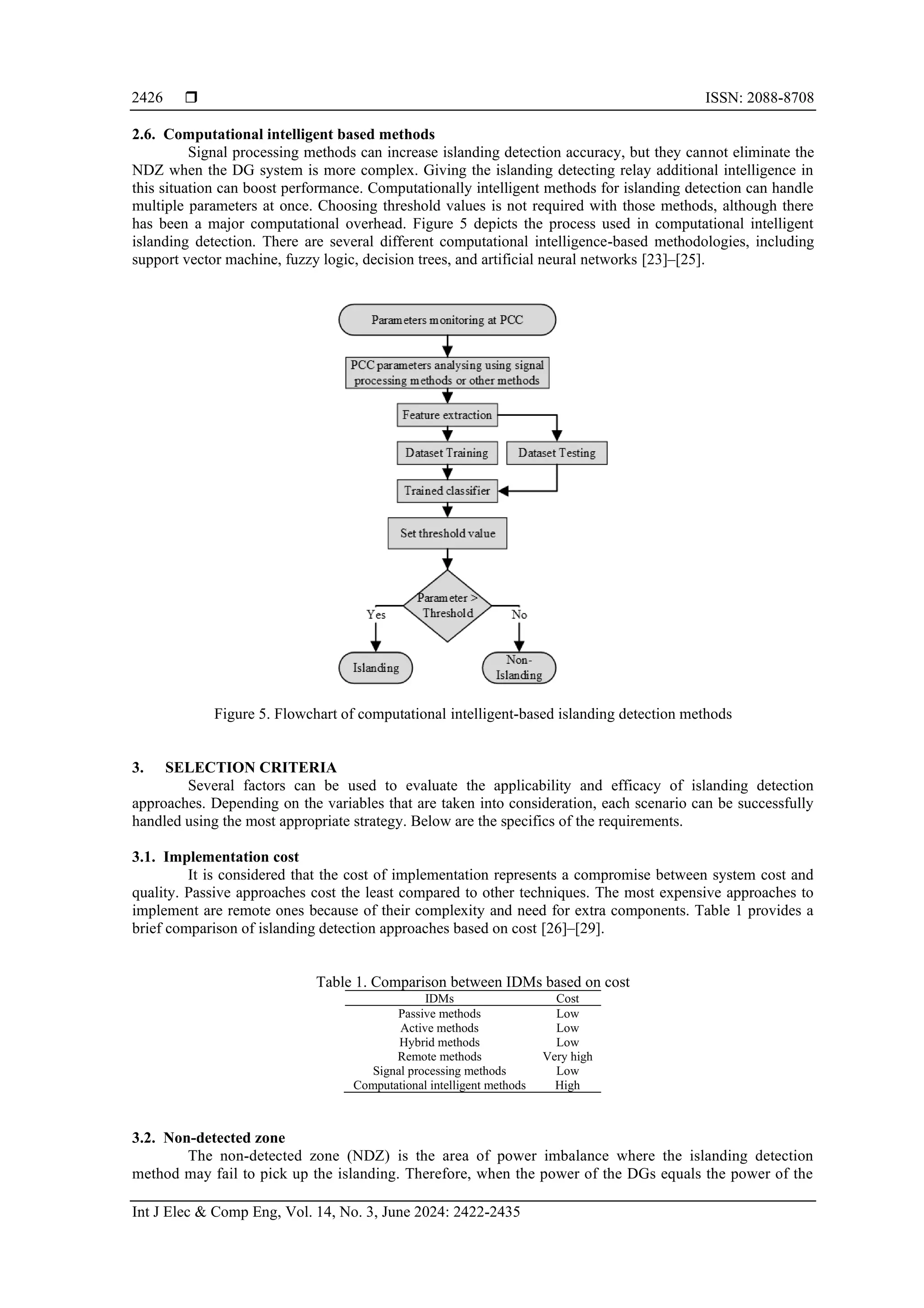
 ISSN: 2088-8708 Int J Elec & Comp Eng, Vol. 14, No. 3, June 2024: 2422-2435 2426 2.6. Computational intelligent based methods Signal processing methods can increase islanding detection accuracy, but they cannot eliminate the NDZ when the DG system is more complex. Giving the islanding detecting relay additional intelligence in this situation can boost performance. Computationally intelligent methods for islanding detection can handle multiple parameters at once. Choosing threshold values is not required with those methods, although there has been a major computational overhead. Figure 5 depicts the process used in computational intelligent islanding detection. There are several different computational intelligence-based methodologies, including support vector machine, fuzzy logic, decision trees, and artificial neural networks [23]–[25]. Figure 5. Flowchart of computational intelligent-based islanding detection methods 3. SELECTION CRITERIA Several factors can be used to evaluate the applicability and efficacy of islanding detection approaches. Depending on the variables that are taken into consideration, each scenario can be successfully handled using the most appropriate strategy. Below are the specifics of the requirements. 3.1. Implementation cost It is considered that the cost of implementation represents a compromise between system cost and quality. Passive approaches cost the least compared to other techniques. The most expensive approaches to implement are remote ones because of their complexity and need for extra components. Table 1 provides a brief comparison of islanding detection approaches based on cost [26]–[29]. Table 1. Comparison between IDMs based on cost IDMs Cost Passive methods Low Active methods Low Hybrid methods Low Remote methods Very high Signal processing methods Low Computational intelligent methods High 3.2. Non-detected zone The non-detected zone (NDZ) is the area of power imbalance where the islanding detection method may fail to pick up the islanding. Therefore, when the power of the DGs equals the power of the
Int J Elec & Comp Eng ISSN: 2088-8708  Use of analytical hierarchy process for selecting and prioritizing islanding … (Mohammad Abu Sarhan) 2427 load, the deviation amount of voltage and frequency can be very small, which has a significant impact on the efficacy of detection. Passive approaches are less successful than active methods because of their broader NDZ. Table 2 provides a brief comparison of islanding detection approaches based on non- detected zone [26]–[29]. Table 2. Comparison between IDMs based on non-detected zone IDMs Non-detected zone Passive methods Large Active methods Small Hybrid methods Small Remote methods Very small Signal processing methods Very small Computational intelligent methods Very small 3.3. Power quality In addition to the generation requirement, the DGs must meet power quality requirements. Electromagnetic interference, harmonic distortion, frequency deviation, and voltage fluctuation are a few examples of power quality issues. The system's ability to recognize islanding has a significant impact on the power quality. For instance, passive procedures do not degrade power quality but active solutions, which are based on injections and disruption, may. Table 3 provides a brief comparison of islanding detection approaches based on power quality [26]–[29]. Table 3. Comparison between IDMs based on power quality IDMs Power quality Passive methods No effect Active methods Slightly degraded Hybrid methods Slightly degraded Remote methods No effect Signal processing methods No effect Computational intelligent methods No effect 3.3. Response time Due to the negative impacts of islanding on network components and utility workers, the response time of the islanding detection method is crucial and should be as quick as possible. Especially when an island is working continuously on its own, the response times of most islanding detection approaches range from half a second to two seconds, which is rather long. While remote techniques are faster than passive and active methods, the passive method's response time is longer than the active method's response time. Table 4 provides a brief comparison of islanding detection approaches based on response time [26]–[29]. Table 4. Comparison between IDMs based on response time. IDMs Response time Passive methods Very fast Active methods Slightly fast Hybrid methods Slow Remote methods Slow Signal processing methods Very fast Computational intelligent methods Fast 4. MULTI-CRITERIA DECISION ANALYSIS Multi-criteria decision analysis (MCDA) is a supervisory process that employs several methodologies and procedures for decision-making that can be used in complex decision-making situations involving many competing criteria. Numerous MCDA techniques have been suggested and documented in various research. The analytical hierarchy process (AHP) is one of these techniques, and it is regarded as a straightforward and acceptable technique that can offer a thorough resolution for islanding detection problems involving a variety of uncertainties and criteria. AHP is a decision support tool that may be used to rank choice alternatives on a numeric scale by establishing subjectively determined qualifications for intangible aspects.
 ISSN: 2088-8708 Int J Elec & Comp Eng, Vol. 14, No. 3, June 2024: 2422-2435 2428 By analyzing operational performances under various scenarios, AHP is used to choose the best islanding detection methods for grid-connected DG systems. The following is the proposed hierarchical model for islanding detection technique selection based on AHP: i) The main goal of the problem is to find out the most appropriate islanding detection method; ii) The considered criteria for the decision are implementation cost, non-detected zone, power quality, and response time; and iii) The decision alternatives are passive methods, active methods, hybrid methods, remote methods, signal processing-based methods, and computational intelligent-based methods. The process begins with organizing a problem involving decision-making as an upside-down tree with the primary objective at the top. At the second level are sub-objectives that contribute to the primary goal. Every set at every level satisfies the goal of the level to which it is subordinate, and every partial target at the second level can be broken down into third-level objectives. In this article, these partial objectives are considered as criteria. At a lower level, each objective, or criterion, from the lower level is reached by ranking the options and comparing them pairwise. Pairwise comparisons are carried out at the fundamental scale shown in Table 5. The number of alternatives, n, is used to assemble a n×n matrix. Matrix A is supplemented with values 𝑎𝑖𝑗, where j is the alternative being compared with i and i is the basis alternative for comparison, corresponding to row i, considering a specific criterion. 𝐴𝑖𝑗 takes on the value of 5, which can be interpreted as a dominance of i over j, if the contribution of i to the criterion under consideration is highly significant in relation to j. Values in between the ones displayed can also be taken into consideration. The following significant associations are shown in the matrix using the procedure. Once the matrix is completed, the procedure looks for a vector that represents each alternative's priority for the taken into consideration criterion. The relationship between matrix A, its higher eigenvalue λ, and the related vector x is the first step in obtaining this vector of priority, x as (1): 𝑎𝑗𝑖 = 1 𝑎𝑖𝑗 ⁄ (1) when assessments are consistent: 𝑎𝑗𝑘 = 𝑎𝑖𝑘 𝑎𝑖𝑗 ⁄ (2) where 𝑘 and 𝑗 are two alternatives being compared to 𝑖. 𝐴𝑥 = 𝜆𝑥 (3) Every alternative is compared to every criterion, and every criterion at a given level is compared to the higher-level criterion with which it is related. At last, every first-level criterion is contrasted with the goal. By building matrices using the same methodology and scale as shown in Table 5, comparisons are made. Until the priorities of the alternatives against the overall objective have been determined, the priorities of the criteria are utilized as weights to compute the priorities of the alternatives in each criterion. Before calculating the priorities for each matrix with n alternatives, comparisons are made given relation 1 and the fact that the diagonal 𝑎𝑖𝑗 =1. The following are the steps for an AHP model: Step 1: Establish the hierarchy which contains three levels. Level 1 is the goal to achieve, level 2 is the criteria, and level 3 is the alternatives which are presented in Figure 6. Step 2: Create the matrix for pair-wise comparisons. As shown in Table 5, Saaty's nine-point scale serves as the foundation for each matrix component. The decision-makers assessment of the relative weight given to various factors is reflected in the comparison matrix. Step 3: Construct the input matrix as presented in Table 6. The scales in the input matrix are given based on the decision-makers. Step 4: Create the normalized matrix as presented in Table 7. To normalize the matrix, we divide the scale over the sum. Step 5: Calculate the criteria weight by adding each row of the normalization matrix divided by the number of alternatives as presented in Table 7. Step 6: Ranking the alternatives based on the calculated weight as presented in Table 8. To gather adequate data to assess whether the decision makers have made consistent decisions, consistency must be assessed. The consistency ratio as 𝐶𝑅 = 𝐶𝐼/𝑅𝐼, where 𝑅𝐼 is random inconsistency and 𝐶𝐼 is the consistency index of the comparison matrix, which are both equal to 𝐶𝐼 = (𝑛𝑚𝑎𝑥 − n)/ (n − 1) and
Int J Elec & Comp Eng ISSN: 2088-8708  Use of analytical hierarchy process for selecting and prioritizing islanding … (Mohammad Abu Sarhan) 2429 𝑅𝐼 = 1.987(𝑛 − 2)/𝑛. For total inconsistency to be considered acceptable, the consistency ratio needs to be 10% or less. If not, judgment data quality needs to be raised. The overall consistency in this study equals 0.04 as shown in the following section. Figure 6. Flowchart of computational intelligent-based islanding detection methods Table 5. Pair-wise comparison matrix Intensity of relative importance Definition 1 Equally important 3 Moderately preferred 5 Strongly preferred 7 Very strongly preferred 9 Extremely preferred 2,4,6,8 Intermediate judgment between two adjacent judgments Table 6. Input matrix Initial Passive Active Hybrid Remote Signal processing Computational intelligent Criterion 1 Implementation Cost Passive 1 3 5 9 5 7 Active 1/3 1 3 5 3 5 Hybrid 1/5 1/3 1 5 1 7 Remote 1/9 1/5 1/5 1 1/7 1/3 Signal Processing 1/5 1/3 1 7 1 7 Computational intelligent 1/7 1/5 1/7 3 1/7 1 Sum 1.987 5.066 10.342 30 10.285 27.333 Criterion 2 Non-detected Zone Passive 1 1/5 1/5 1/7 1/9 1/9 Active 5 1 1/3 1/9 1/9 1/9 Hybrid 7 3 1 1/9 1/9 1/9 Remote 7 9 9 1 1/3 1/3 Signal Processing 9 9 9 3 1 1 Computational intelligent 9 9 9 3 1 1 Sum 38 31.2 28.53 7.37 2.67 2.67 Criterion 3 Power Quality Passive 1 9 7 1 1 1 Active 1/9 1 1/3 1/9 1/9 1/9 Hybrid 1/7 3 1 1/7 1/7 1/7 Remote 1 9 7 1 1 1 Signal Processing 1 9 7 1 1 1 Computational intelligent 1 9 7 1 1 1 Sum 4.254 40.000 29.333 4.254 4.254 4.254 Criterion 4 Response Time Passive 1 5 9 7 1 3 Active 1/5 1 5 3 1/5 1/3 Hybrid 1/9 1/5 1 1/3 1/9 1/7 Remote 1/7 1/3 3 1 1/7 1/5 Signal Processing 1 5 9 7 1 3 Computational intelligent 1/3 3 7 5 1/3 1 Sum 2.787 14.533 34.000 23.333 2.787 7.676
 ISSN: 2088-8708 Int J Elec & Comp Eng, Vol. 14, No. 3, June 2024: 2422-2435 2430 Table 7. Normalized matrix Normalization Criterion 1 Implementation cost Passive Active Hybrid Remote Signal processing Computational intelligent Weight W% Passive 0.503 0.592 0.483 0.300 0.486 0.256 0.436667 43.66 Active 0.167 0.197 0.290 0.166 0.291 0.182 0.2155 21.55 Hybrid 0.100 0.065 0.096 0.166 0.097 0.256 0.13 13 Remote 0.055 0.039 0.019 0.033 0.013 0.012 0.0285 2.85 Signal processing 0.100 0.065 0.096 0.233 0.097 0.256 0.141167 14.11 Computational intelligent 0.071 0.039 0.013 0.1 0.013 0.036 0.045333 4.53 Criterion 2 Non-detected zone Passive 0.026 0.006 0.007 0.019 0.042 0.042 0.024 2.40 Active 0.132 0.032 0.012 0.015 0.042 0.042 0.046 4.60 Hybrid 0.184 0.096 0.035 0.015 0.042 0.042 0.069 6.90 Remote 0.184 0.288 0.315 0.136 0.125 0.125 0.196 19.6 Signal processing 0.237 0.288 0.315 0.407 0.375 0.375 0.333 33.3 Computational intelligent 0.237 0.288 0.315 0.407 0.375 0.375 0.333 33.3 Criterion 3 Power quality Passive 0.235 0.225 0.239 0.235 0.235 0.235 0.234 23.4 Active 0.026 0.025 0.011 0.026 0.026 0.026 0.023 2.3 Hybrid 0.034 0.075 0.034 0.034 0.034 0.034 0.041 4.1 Remote 0.235 0.225 0.239 0.235 0.235 0.235 0.234 23.4 Signal processing 0.235 0.225 0.239 0.235 0.235 0.235 0.234 23.4 Computational intelligent 0.235 0.225 0.239 0.235 0.235 0.235 0.234 23.4 Criterion 4 Response time Passive 0.359 0.344 0.265 0.300 0.359 0.391 0.336 33.6 Active 0.072 0.069 0.147 0.129 0.072 0.043 0.089 8.9 Hybrid 0.040 0.014 0.029 0.014 0.040 0.019 0.026 2.6 Remote 0.051 0.023 0.088 0.043 0.051 0.026 0.047 4.7 Signal processing 0.359 0.344 0.265 0.300 0.359 0.391 0.336 33.6 Computational intelligent 0.120 0.206 0.206 0.214 0.120 0.130 0.166 16.6 Table 8. Alternative ranking Criterion 1 Cost Weight (%) Ranking Passive 43.66 1st Active 21.55 2nd Hybrid 13 4th Remote 2.85 6th Signal processing 14.11 3rd Computational intelligent 4.53 5th Criterion 2 Non-detected zone Passive 2.40 5th Active 4.60 4th Hybrid 6.90 3rd Remote 19.6 2nd Signal processing 33.3 1st Computational intelligent 33.3 1st Criterion 3 Power quality Passive 23.4 1st Active 2.3 3rd Hybrid 4.1 2nd Remote 23.4 1st Signal processing 23.4 1st Computational intelligent 23.4 1st Criterion 4 Response time Passive 33.6 1st Active 8.9 3rd Hybrid 2.6 5th Remote 4.7 4th Signal processing 33.6 1st Computational intelligent 16.6 2nd 5. SOLUTION WITH EXPERT CHOICE The hierarchy is organized into three parts: the goal (Islanding detection method selection), criteria (cost, non-detected zone, power quality, and response time), and alternative (passive method, active method, hybrid method, remote method, signal processing-based method, and computational intelligent-based method), as shown in Figure 7. After the model is constructed, the elements are evaluated using a pair-wise
Int J Elec & Comp Eng ISSN: 2088-8708  Use of analytical hierarchy process for selecting and prioritizing islanding … (Mohammad Abu Sarhan) 2431 comparison. Comparing the alternatives considering the criteria stated in Figure 8(a) cost, 8(b) non-detected zone, 8(c) power quality, and 8(d) response time; is how the pair-wise comparison is conducted with respect to each criterion. The judgements are input using Saaty's 1–9 scale, where every alternative that is compared to itself has a “1” value will show up in all alternatives of the major diagonal of any judgment matrix. Figure 7. Hierarchy Structure (a) (b) (c) (d) Figure 8. Pair-wise comparison with respect to (a) cost, (b) non-detected zone, (c) power quality, and (d) response time Priorities are computed when the pair-wise comparison is completed. Cost, non-detected zone, power quality, and response time are all given similar weights in this study regarding the main objective. However, the proprieties are determined based on the relative preference comparison for each criterion as shown in Figure 9(a) cost, 9(b) non-detected zone, 9(c) power quality, and 9(d) response time. The ideal mode, which uses normalization by dividing the score of each alternative solely by the score of the best alternative under each criterion, is used to combine the local preferences across all criteria to determine the global priority. As seen in Figure 10, the study's overall consistency is equivalent to 0.04. By slightly altering the input data to track the impact on the outcomes, the sensitivity analysis can be applied to decision-making. The findings are regarded as solid if the ranking stays the same. The interactive graphical interface depicted in Figure 11 is the ideal method for carrying out the sensitivity analysis. The sensitivity analysis shows that hybrid techniques have the lowest alternative and objective priorities (10% and 5%, respectively) when all criteria are given equal weight. and the highest alternative and objective priority (55% and 27%) are seen in signal processing-based techniques.
 ISSN: 2088-8708 Int J Elec & Comp Eng, Vol. 14, No. 3, June 2024: 2422-2435 2432 (a) (b) (c) (d) Figure 9. Priorities derived from pair-wise comparison for (a) cost, (b) non-detected zone, (c) power quality, and (d) time response Figure 10. Global priorities using ideal mode Figure 11. Performance sensitivity 6. RESULTS AND DISCUSSION As illustrated in Figure 6, the criteria and alternatives are identified and then arranged in an AHP hierarchy. Subsequently, a pair-wise comparison matrix (PCM) or decision matrix is created based on the alternatives for each criterion. A value 𝐶𝑖𝑗, (𝑖 = 1, 2, . . . , 𝑛; 𝑗 = 1, 2, . . . , 𝑛) defined on Saaty's nine-point scale as presented in Table 5 is used to compare objectives i and j. Moreover, 𝐶𝑗𝑖 =1/c if 𝐶𝑖𝑗 = 𝑐. Based on a nine- point rating system, the value of 𝐶𝑖𝑗 is determined by how much an attribute is valued more highly for objective i than for objective j. As shown in Table 6, the diagonal element of PCM, 𝐶𝑖𝑗(𝑖 = 𝑗) (𝐶11, 𝐶22, . . . , 𝐶𝑛), denotes
Int J Elec & Comp Eng ISSN: 2088-8708  Use of analytical hierarchy process for selecting and prioritizing islanding … (Mohammad Abu Sarhan) 2433 self-importance and its value is always 1. While building a PCM, a review of the research literature already in existence, discussions with experts in the field, and manufacturer reports can all be helpful resources for determining values 𝐶𝑖𝑗, (𝑖 = 1, 2, . . . , 𝑛; 𝑗 = 1, 2, . . . , 𝑛). Based on the relative assigning value for the alternatives, Table 6 illustrates the PCMs among the alternatives (objectives) regarding each criterion (attribute). In the PCM with respect to the first criterion (implementation cost) as presented in Table 6, the first row and first column 𝐶11 equals 1 (self-reference of passive methods), 𝐶12 = 3 = 1/𝐶21 (passive methods are moderately preferred than active methods or active methods are moderately less preferred than passive methods), 𝐶13 = 5 = 1/𝐶31 (passive methods are strongly preferred than hybrid methods), 𝐶14 = 9 = 1/𝐶41 (passive methods are extremely preferred than remote methods), and so on. The elements of PCMs are assigned in this manner. As demonstrated in Figure 9, Expert Choice software was utilized to calculate the weight factor for each of the alternatives for each criterion, complying with the AHP procedure, such as the weight given to passive methods (44.5%, 2.1%, 23.4%, and 34%), active methods (22.5%, 3.8%, 2.3%, and 8.5%), hybrid methods (12.7%, 5.5%, 4%, and 2.5%), remote methods (2.7%, 20.7%, 23.4%, and 4.4%), signal processing-based methods (13.5%, 34%, 23.4%, and 34%), and computational intelligent-based methods (4%, 34%, 23.4%, and 16.6%) based on the comparison criteria cost, non-detected zone, power quality, and response time respectively. As illustrated in Figure 10, the overall weight is calculated for each alternative such as the overall weight given to passive methods (24.7%), active methods (7.8%), hybrid methods (5.6%), remote methods (14.5%), signal processing-based methods (26.6%), and computational intelligent-based methods (20.8%) based on the comparison of all criteria together. Therefore, according to the overall weight it can be observed that signal processing-based methods are the most appropriate methods to be selected and the least one is hybrid methods. Additionally, the performance sensitivity shown in Figure 11 demonstrates that, when all criteria are given equal weight, hybrid methods have the lowest alternative and objective priorities (10% and 5%, respectively) and signal processing-based methods have the highest alternative and objective priorities (55% and 27%). The performance sensitivity analysis is dynamic, though, so each criterion's priority will adjust in accordance with whether the criteria are weighted unequal according to the designer's assessment of their relative importance. 7. CONCLUSION This paper offers a comprehensive analysis of several islanding detection methods. Traditional and modern approaches are used to detect islands. Traditional techniques include local (passive, active, and hybrid) and remote methods, whilst modern ones include signal processing and computationally intelligent methods. Passive methods' key tenet is to monitor changes in network parameters like voltage or frequency at PCC. Active techniques, which are based on perturbation injection, look at how injection affects system parameters. Active and passive strategies are used in hybrid techniques. For remote approaches to function, the utility side and the DGs side must exchange information and interact. Techniques based on signal processing use feature extraction as their cornerstone. Pattern recognition and data training are the core of computational intelligence methods. By contrasting the islanding detection methods based on a few factors, including implementation cost, non-detected zone, power quality, and response time, the AHP-based methodology is proved and proven in this work. Passive approaches are the best option to choose if the implementation cost criterion is the sole factor considered. Signal processing-based approaches or computationally intelligent-based methods are the most suitable options to choose if the non-detected zone criterion is the only factor considered. Passive, remote, signal processing-based or computationally intelligent solutions are the best ones to choose if the power quality requirement is the only factor considered. Passive or signal processing-based solutions are the best options to select if the response time criterion is the only factor considered. However, if these factors are considered, signal processing-based methods and passive methods may be the ideal ones to use. REFERENCES [1] F. Barkat et al., “Review, analysis, and performance evaluation of the most common four active methods for islanding detection in grid-connected photovoltaic systems,” Electric Power Systems Research, vol. 214, Jan. 2023, doi: 10.1016/j.epsr.2022.108909. [2] M. Abu Sarhan, “An extensive review and analysis of islanding detection techniques in DG systems connected to power grids,” Energies, vol. 16, no. 9, Apr. 2023, doi: 10.3390/en16093678. [3] M. Y. Worku, M. A. Hassan, L. S. Maraaba, and M. A. Abido, “Islanding detection methods for microgrids: a comprehensive review,” Mathematics, vol. 9, no. 24, Dec. 2021, doi: 10.3390/math9243174. [4] R. S. Kunte and W. Gao, “Comparison and review of islanding detection techniques for distributed energy resources,” in 2008 40th North American Power Symposium, Calgary, AB, Canada, 2008, pp. 1-8, doi: 10.1109/NAPS.2008.5307381. [5] C. Li, C. Cao, Y. Cao, Y. Kuang, L. Zeng, and B. Fang, “A review of islanding detection methods for microgrid,” Renewable and Sustainable Energy Reviews, vol. 35, pp. 211–220, Jul. 2014, doi: 10.1016/j.rser.2014.04.026. [6] K. N. E. Ku Ahmad, J. Selvaraj, and N. A. Rahim, “A review of the islanding detection methods in grid-connected PV inverters,” Renewable and Sustainable Energy Reviews, vol. 21, pp. 756–766, May 2013, doi: 10.1016/j.rser.2013.01.018.
 ISSN: 2088-8708 Int J Elec & Comp Eng, Vol. 14, No. 3, June 2024: 2422-2435 2434 [7] A. Datta, A. Ray, D. Mukherjee, and H. Saha, “Selection of islanding detection methods based on multi-criteria decision analysis for grid-connected photovoltaic system applications,” Sustainable Energy Technologies and Assessments, vol. 7, pp. 111–122, Sep. 2014, doi: 10.1016/j.seta.2014.04.003. [8] I. V. Banu et al., “Passive anti-islanding protection for three-phase grid-connected photovoltaic power systems,” International Journal of Electrical Power and Energy Systems, vol. 148, Jun. 2023, doi: 10.1016/j.ijepes.2023.108946. [9] X. Xie, C. Huang, and D. Li, “A new passive islanding detection approach considering the dynamic behavior of load in microgrid,” International Journal of Electrical Power and Energy Systems, vol. 117, May 2020, doi: 10.1016/j.ijepes.2019.105619. [10] A. Abyaz et al., “An effective passive islanding detection algorithm for distributed generations,” Energies, vol. 12, no. 16, Aug. 2019, doi: 10.3390/en12163160. [11] M. S. Kim, R. Haider, G. J. Cho, C. H. Kim, C. Y. Won, and J. S. Chai, “Comprehensive review of islanding detection methods for distributed generation systems,” Energies, vol. 12, no. 5, Mar. 2019, doi: 10.3390/en12050837. [12] C. R. Reddy, B. S. Goud, B. N. Reddy, M. Pratyusha, C. V. Vijay Kumar, and R. Rekha, “Review of islanding detection parameters in smart grid,” in 8th International Conference on Smart Grid, icSmartGrid 2020, Jun. 2020, pp. 78–89, doi: 10.1109/icSmartGrid49881.2020.9144923. [13] N. Gupta, R. Dogra, R. Garg, and P. Kumar, “Review of islanding detection schemes for utility interactive solar photovoltaic systems,” International Journal of Green Energy, vol. 19, no. 3, pp. 242–253, Jun. 2022, doi: 10.1080/15435075.2021.1941048. [14] J. A. Cebollero, D. Cañete, S. Martín-Arroyo, M. García-Gracia, and H. Leite, “A survey of islanding detection methods for microgrids and assessment of non-detection zones in comparison with grid codes,” Energies, vol. 15, no. 2, Jan. 2022, doi: 10.3390/en15020460. [15] C. Rami Reddy et al., “Hybrid ROCOF relay for islanding detection,” Journal of Electrical Engineering and Technology, vol. 17, no. 1, pp. 51–60, Aug. 2022, doi: 10.1007/s42835-021-00856-9. [16] B. Hariprasad., P. Bharat Kumar, P. Sujatha, and G. Sreenivasan, “Island detection in inverter based distributed generation using a hybrid method,” in 2022 Second International Conference on Artificial Intelligence and Smart Energy (ICAIS), Feb. 2022, pp. 1702–1707, doi: 10.1109/ICAIS53314.2022.9742815. [17] M. A. Ajith and R. M. Shereef, “Islanding detection of inverter based distributed generations using wavelet transform and KNN,” in 2022 IEEE International Conference on Power Electronics, Smart Grid, and Renewable Energy (PESGRE), Trivandrum, India, 2022, pp. 1-6, doi: 10.1109/PESGRE52268.2022.9715940. [18] M. Tajdinian, H. Khosravi, H. Samet, and Z. M. Ali, “Islanding detection scheme using potential energy function based criterio,” Electric Power Systems Research, vol. 209, Aug. 2022, doi: 10.1016/j.epsr.2022.108047. [19] S. K. G. Manikonda and D. N. Gaonkar, “Comprehensive review of IDMs in DG systems,” IET Smart Grid, vol. 2, no. 1, pp. 11–24, Jan. 2019, doi: 10.1049/iet-stg.2018.0096. [20] S. C. Paiva, R. L. de A. Ribeiro, D. K. Alves, F. B. Costa, and T. de O. A. Rocha, “A wavelet-based hybrid islanding detection system applied for distributed generators interconnected to AC microgrids,” International Journal of Electrical Power and Energy Systems, vol. 121, Oct. 2020, doi: 10.1016/j.ijepes.2020.106032. [21] A. Taheri Kolli and N. Ghaffarzadeh, “A novel phase let-based approach for islanding detection in inverter-based distributed generation systems,” Electric Power Systems Research, vol. 182, May 2020, doi: 10.1016/j.epsr.2020.106226. [22] M. Shaik, A. G. Shaik, and S. K. Yadav, “Hilbert–Huang transform and decision tree based islanding and fault recognition in renewable energy penetrated distribution system,” Sustainable Energy, Grids and Networks, vol. 30, Jun. 2022, doi: 10.1016/j.segan.2022.100606. [23] N. A. Larik, M. F. Tahir, Z. M. S. Elbarbary, M. Z. Yousaf, and M. A. Khan, “A comprehensive literature review of conventional and modern islanding detection methods,” Energy Strategy Reviews, vol. 44, Nov. 2022, doi: 10.1016/j.esr.2022.101007. [24] I. Bhushan, S. Chandra, and A. Yadav, “A comprehensive portrayal of research drifts in islanding detection methods towards soft computing,” in 2022 2nd International Conference on Power Electronics & IoT Applications in Renewable Energy and its Control (PARC), Mathura, India, 2022, pp. 1-5, doi: 10.1109/PARC52418.2022.9726246. [25] S. S. Mohapatra, M. K. Maharana, A. Pradhan, P. K. Panigrahi, and R. C. Prusty, “Detection and diagnosis of islanding using artificial intelligence in distributed generation systems,” Sustainable Energy, Grids and Networks, vol. 29, Mar. 2022, doi: 10.1016/j.segan.2021.100576. [26] F. Mumtaz, K. Imran, A. Abusorrah, and S. B. A. Bukhari, “An extensive overview of islanding detection strategies of active distributed generations in sustainable microgrids,” Sustainability, vol. 15, no. 5, Mar. 2023, doi: 10.3390/su15054456. [27] A. M. M. Alyasiri and S. Kurnaz, “Passive islanding detection in microgrids using artificial neural networks,” Applied Nanoscience, vol. 13, no. 4, pp. 2885–2900, Apr. 2023, doi: 10.1007/s13204-021-02197-5. [28] Y. A. Elshrief, D. H. Helmi, S. Abd-Elhaleem, B. A. Abozalam, and A. D. Asham, “Fast and accurate islanding detection technique for microgrid connected to photovoltaic system,” Journal of Radiation Research and Applied Sciences, vol. 14, no. 1, pp. 210–221, Dec. 2021, doi: 10.1080/16878507.2021.1923913. [29] B. K. Panigrahi, A. Bhuyan, J. Shukla, P. K. Ray, and S. Pati, “A comprehensive review on intelligent islanding detection techniques for renewable energy integrated power system,” International Journal of Energy Research, vol. 45, no. 10, pp. 14085–14116, Apr. 2021, doi: 10.1002/er.6641. BIOGRAPHIES OF AUTHORS Mohammad Abu Sarhan received a B.S degree in electrical power engineering in 2013 from Al-Balqa Applied University, Amman, Jordan, and MSc in control science and control engineering in 2019 from China University of Geosciences, Wuhan, China. He is currently doing his Ph.D. in electrical engineering at AGH University of Science and Technology, Krakow, Poland. He worked as a technical engineer on many projects, particularly those involving the marine industry. He also lectured at the Jordan Academy for Maritime Studies, where he taught a variety of engineering and electrical power system courses. His research interests include renewable energy resources, smart grids, and electrical power systems control and optimization. He can be contacted at email: sarhan@agh.edu.pl.
Int J Elec & Comp Eng ISSN: 2088-8708  Use of analytical hierarchy process for selecting and prioritizing islanding … (Mohammad Abu Sarhan) 2435 Andrzej Bien received PhD degree in electrical engineering from AGH University of Science and Technology in 1988. Main professional interests are related to measurements and measurement systems using fast signal processors, in particular applications related to electricity and its quality. Measurements and related research include broadly understood signal analysis, building new ways of measuring and new measures. In the last years of his professional activity, he worked on the analysis of signals related to non- stationary disturbances. Currently, he is the head of the Department of Power Electronics and Automation of Energy Processing Systems at AGH University of Science and Technology. He can be contacted at email: abien@agh.edu.pl. Szymon Barczentewicz received MSc and PhD degree in electrical engineering from AGH University of Science and Technology in 2012 and 2017 respectively. Since June 2018 he has been employed at AGH University as an assistant professor. During 2019–2021 he was a project manager of ERANET, RELflex “Renewable energy and load flexibility in small industry” project. Since 2023 he was working as innovation project manager at TAURON Dystrybucja (Polish DSO). His current research is focused on measurement systems used in power grids, with particular emphasis on issues related to synchro phasor measurements and the use of phasor technology in power quality problems. He can be contacted at email: barczent@agh.edu.pl.

Use of analytical hierarchy process for selecting and prioritizing islanding detection methods in power grids

  • 1.
    International Journal ofElectrical and Computer Engineering (IJECE) Vol. 14, No. 3, June 2024, pp. 2422~2435 ISSN: 2088-8708, DOI: 10.11591/ijece.v14i3.pp2422-2435  2422 Journal homepage: http://ijece.iaescore.com Use of analytical hierarchy process for selecting and prioritizing islanding detection methods in power grids Mohammad Abu Sarhan, Andrzej Bien, Szymon Barczentewicz Department of Power Electronics, Faculty of Electrical Engineering, AGH University of Krakow, Krakow, Poland Article Info ABSTRACT Article history: Received Oct 2, 2023 Revised Jan 12, 2024 Accepted Feb 7, 2024 One of the problems that are associated to power systems is islanding condition, which must be rapidly and properly detected to prevent any negative consequences on the system's protection, stability, and security. This paper offers a thorough overview of several islanding detection strategies, which are divided into two categories: classic approaches, including local and remote approaches, and modern techniques, including techniques based on signal processing and computational intelligence. Additionally, each approach is compared and assessed based on several factors, including implementation costs, non-detected zones, declining power quality, and response times using the analytical hierarchy process (AHP). The multi-criteria decision-making analysis shows that the overall weight of passive methods (24.7%), active methods (7.8%), hybrid methods (5.6%), remote methods (14.5%), signal processing-based methods (26.6%), and computational intelligent-based methods (20.8%) based on the comparison of all criteria together. Thus, it can be seen from the total weight that hybrid approaches are the least suitable to be chosen, while signal processing-based methods are the most appropriate islanding detection method to be selected and implemented in power system with respect to the aforementioned factors. Using Expert Choice software, the proposed hierarchy model is studied and examined. Keywords: Analytical hierarchy process Expert Choice Islanding detection Multi-criteria decision making Power grids This is an open access article under the CC BY-SA license. Corresponding Author: Mohammad Abu Sarhan Department of Power Electronics, Faculty of Electrical Engineering, AGH University of Krakow Aleja Adama Mickiewicza 30, Krakow, 30-059, Poland Email: sarhan@agh.edu.pl 1. INTRODUCTION Recently finding alternative renewable energy sources to be used in place of conventional power systems and developing new technologies that can be employed in electricity production are both of utmost importance. Due to the advantages that can be provided, such as lowering the upgrade of transmission and distribution capacity, reducing distribution system losses, and improving system power quality, the implementation of distributed generations (DGs), including solar modules, wind turbines, and synchronous generators in power systems is significantly increasing. On the other hand, when operating DGs; several factors including islanding circumstances that may have a detrimental effect on the system must be taken into account. This islanding phenomena occurs when the DGs experience a loss of grid, or electrical connection to the primary utility grid, yet continue to provide electricity to the rest of the system [1]. As a result, this phenomenon has a number of negative side effects on the network, including the possibility of system parameters outside of acceptable limits, the failure of protective devices, potential harm to maintenance personnel due to the continued operation of DGs, and potential damage to prime movers from the mechanical
  • 2.
    Int J Elec& Comp Eng ISSN: 2088-8708  Use of analytical hierarchy process for selecting and prioritizing islanding … (Mohammad Abu Sarhan) 2423 torque brought on by instantaneous reclosing. Therefore, it is crucial to quickly, correctly, and effectively detect the islanding. Numerous islanding detection methods (IDMs) have been put forth and grouped into four categories: local techniques (passive, active, and hybrid); remote techniques; approaches based on signal processing; and computationally intelligent techniques [2]–[6]. When choosing the most suitable technique to be implemented in the system, various criteria must be taken into account because each method has advantages and disadvantages over the others. Therefore, it is crucial to develop a simplified way for determining which islanding detection technology is the most suitable for integration into the system. Multi- criteria decision analysis (MCDA) is a good tool that can be used to solve this problem. However, depending on the type of DG units and their connection topologies, the choice of IDM is very flexible. The selection of islanding-detection techniques is influenced by several criteria, including the location of distributed generation, the lifespan of distributed generation generators, and future expandability. The short circuit capacity at point of common coupling (PCC), energy conversion/processing methods, DG unit capacity/size, regulatory concerns enforcing requirements, and other factors can also have a considerable impact, either directly or indirectly, on the choice of anti-islanding strategies. The proper selection of IDMs also involves several additional considerations. There are many IDMs available, but none of them is perfect. Consequently, a major concern is utilizing a suitable technique to assess various IDM types to determine their applicability and to make future projections. Uncertainty prevents deterministic values from adequately accounting for the constraints (criteria) of various IDM selection as well as the interactions between the constraints. Decision- makers find it challenging to handle without a great deal of experience. When a decision needs to be made after considering numerous, opposing, and negative evaluations, MCDA is employed. These conflicts will be brought to light, and a suitable strategy will be developed to produce a transparent procedure. The evaluation procedure in the area of power systems has already utilized MCDA. There are numerous MCDA techniques that can be utilized to address some issues in this area, including but not limited to the analytical hierarchy process (AHP), elimination and choice expressing reality (ELECTRE), fuzzy sets, and evacuation management decision support system (EMDSS). Various commonly utilized IDMs: ratio of change of frequency (RCF), phase jump detection (PJD), harmonic detection (DH), impedance measurement (IM), slip-mode frequency shift (SMS), and Sandia frequency shift (SFS), were examined using AHP in [7]. Both passive and active methods can be applied to those techniques. However, no investigation was done on the other primary islanding detection categories. Additionally, it was noted that there was a deficiency in the research conducted to date to identify a selection methodology that could be used to the analysis of all significant islanding detection techniques, particularly those based on signal processing and computational intelligence. Hence, this paper examines all the primary categories for islanding detection to show how applicable AHP is to anti-islanding selection issues. This work's outcome is accurate and efficient in comparison to the studies that were carried out. But in this work, only the primary four criteria were considered. More criteria in the future, such as load type, dependability, applicability in the event of multi-inverters, and sensitivity to cyber-attack, can be taken into consideration, once there are sufficient studies covering those criteria accurately. Two categories of islanding detection techniques were compared; conventional techniques, which include local and remote techniques, and modern methods, which include techniques based on signal processing and computational intelligence. Each solution is analyzed and evaluated using the AHP based on several factors, including implementation costs, non-detected zones, power quality, and response times. As a result, when the implementation cost requirement is the only consideration, then passive techniques are the best choice. Selecting methods based on computational intelligence or signal processing is the best course of action when the non-detected zone criterion is the only consideration. If the primary consideration is the required level of power quality, then the best options are those that are passive, remote, computationally intelligent, or based on signal processing. If the response time criterion is the only consideration, then the best options to choose are those that rely on passive or signal processing. Nonetheless, passive and signal processing-based approaches might be the best options provided these aspects are considered. There are seven sections of the work that is being presented. The primary various types of islanding detection techniques are examined in section 2. The selection criteria are described in section 3. The design and process study of decision analysis are explained in section 4. The simulation based on expert choice software is covered in section 5. The results and discussion are presented in section 6. The last section states with a conclusion. 2. ISLANDING DETECTION METHODS Local approaches (passive, active, and hybrid), remote methods, signal processing-based methods, and computationally intelligent-based methods are the four primary groups into which islanding detection techniques fall. The operation of passive methods relies on tracking changes in system characteristics at the point of common coupling (PCC). Active techniques alter various network injections, and the effect of the
  • 3.
     ISSN: 2088-8708 IntJ Elec & Comp Eng, Vol. 14, No. 3, June 2024: 2422-2435 2424 injection on the system parameters is then examined. Active and passive techniques are used in hybrid methods. The foundation of remote techniques is the gathering and exchange of data between the utility and distributed generator (DG) sides. The foundation of how signal processing-based techniques work is the extraction of system features. Methods based on computational intelligence operate through data training and pattern recognition. The methods used to identify islanding detection are briefly described here. 2.1. Passive methods System variables like voltage, frequency, current, power, or impedance are measured at the PCC when passive methods are used in the system. The values of these parameters will fall within acceptable ranges in the case of normal operation. The values of these parameters will, however, fluctuate and go above the allowable threshold levels when islanding occurs. The protection relays that trip the main circuit breakers to prevent the islanding action are used to examine and detect these fluctuations. Figure 1 depicts the process involved in passive islanding detection. The term “passive methods” refers to a variety of strategies, including voltage imbalance (VU), over/under voltage protection (O/UV), over/under frequency protection (O/UF), rate of change of frequency (ROCOF), rate of change of active and reactive power (ROCOP), and rate of change of frequency (ROCOF), rate of change of active and reactive power (ROCOP), voltage unbalance (VU), and phase jump detection (PJD) [8]–[10]. 2.2. Active methods An external, tiny disturbance signal is injected into the DG output when active methods are used in the system. Due to this injection, the system parameters will fluctuate and go above the permitted ranges while the system is in an islanding condition. Figure 2 depicts the steps necessary for active islanding detection. Numerous techniques fall under the category of active methods, including the active frequency drift method (AFD), the Sandia frequency shift method (SFS), the Sandia voltage shift method (SVS), the impedance measurement method (IM), the slip mode frequency shift method (SMFS), and the frequency jump method (FJ) [11]–[14]. Figure 1. Flowchart of passive islanding detection methods Figure 2. Flowchart of active islanding detection methods 2.3. Hybrid methods Passive and active methodologies are used to create hybrid approaches. Hybrid method implementation is accomplished in two parts. A passive strategy is used in the initial step primarily to identify the islanding. An active method is utilized to precisely detect the islanding if it is still there after the first step has been applied. Figure 3 depicts the steps necessary for hybrid islanding detection. Numerous techniques, including the voltage imbalance and frequency set-point method, the voltage and actual power shift method, the voltage fluctuation injection technique, the hybrid Sandia frequency shift and Q-f technique, are included in hybrid methods [15]–[17].
  • 4.
    Int J Elec& Comp Eng ISSN: 2088-8708  Use of analytical hierarchy process for selecting and prioritizing islanding … (Mohammad Abu Sarhan) 2425 Figure 3. Flowchart of hybrid islanding detection methods 2.4. Remote methods The utility side and the DG side must communicate for remote approaches to work. The islanding is identified based on the utility's state of the circuit breakers. The DG unit is then triggered by providing the appropriate tripping signal. The term “remote methods” refers to a variety of techniques, including power line carrier communication (PLCC), signal produced by disconnect (SPD), supervisory control and data acquisition (SCADA), transfer trip scheme, impedance insertion method, and phasor measuring unit [18], [19]. 2.5. Signal processing-based methods Signal processing approaches are applied to lower the non-detection zone (NDZ) of passive methods in islanding detection. These techniques have the additional benefit of being able to extract the voltage, frequency, and current hidden aspects of the recorded signals at PCC when compared to passive methods. The acquired features can then be utilized as input to a classification approach like artificial intelligence or machine learning to determine if the system functions in an islanding situation or not. Figure 4 depicts the steps necessary for signal processing-based islanding detection. The Fourier transformer method, Wavelet transformer method, S-transformer method, and time-time transformer method are only a few examples of the numerous signal processing-based techniques [20]–[22]. Figure 4. Flowchart of signal processing-based islanding detection methods
  • 5.
     ISSN: 2088-8708 IntJ Elec & Comp Eng, Vol. 14, No. 3, June 2024: 2422-2435 2426 2.6. Computational intelligent based methods Signal processing methods can increase islanding detection accuracy, but they cannot eliminate the NDZ when the DG system is more complex. Giving the islanding detecting relay additional intelligence in this situation can boost performance. Computationally intelligent methods for islanding detection can handle multiple parameters at once. Choosing threshold values is not required with those methods, although there has been a major computational overhead. Figure 5 depicts the process used in computational intelligent islanding detection. There are several different computational intelligence-based methodologies, including support vector machine, fuzzy logic, decision trees, and artificial neural networks [23]–[25]. Figure 5. Flowchart of computational intelligent-based islanding detection methods 3. SELECTION CRITERIA Several factors can be used to evaluate the applicability and efficacy of islanding detection approaches. Depending on the variables that are taken into consideration, each scenario can be successfully handled using the most appropriate strategy. Below are the specifics of the requirements. 3.1. Implementation cost It is considered that the cost of implementation represents a compromise between system cost and quality. Passive approaches cost the least compared to other techniques. The most expensive approaches to implement are remote ones because of their complexity and need for extra components. Table 1 provides a brief comparison of islanding detection approaches based on cost [26]–[29]. Table 1. Comparison between IDMs based on cost IDMs Cost Passive methods Low Active methods Low Hybrid methods Low Remote methods Very high Signal processing methods Low Computational intelligent methods High 3.2. Non-detected zone The non-detected zone (NDZ) is the area of power imbalance where the islanding detection method may fail to pick up the islanding. Therefore, when the power of the DGs equals the power of the
  • 6.
    Int J Elec& Comp Eng ISSN: 2088-8708  Use of analytical hierarchy process for selecting and prioritizing islanding … (Mohammad Abu Sarhan) 2427 load, the deviation amount of voltage and frequency can be very small, which has a significant impact on the efficacy of detection. Passive approaches are less successful than active methods because of their broader NDZ. Table 2 provides a brief comparison of islanding detection approaches based on non- detected zone [26]–[29]. Table 2. Comparison between IDMs based on non-detected zone IDMs Non-detected zone Passive methods Large Active methods Small Hybrid methods Small Remote methods Very small Signal processing methods Very small Computational intelligent methods Very small 3.3. Power quality In addition to the generation requirement, the DGs must meet power quality requirements. Electromagnetic interference, harmonic distortion, frequency deviation, and voltage fluctuation are a few examples of power quality issues. The system's ability to recognize islanding has a significant impact on the power quality. For instance, passive procedures do not degrade power quality but active solutions, which are based on injections and disruption, may. Table 3 provides a brief comparison of islanding detection approaches based on power quality [26]–[29]. Table 3. Comparison between IDMs based on power quality IDMs Power quality Passive methods No effect Active methods Slightly degraded Hybrid methods Slightly degraded Remote methods No effect Signal processing methods No effect Computational intelligent methods No effect 3.3. Response time Due to the negative impacts of islanding on network components and utility workers, the response time of the islanding detection method is crucial and should be as quick as possible. Especially when an island is working continuously on its own, the response times of most islanding detection approaches range from half a second to two seconds, which is rather long. While remote techniques are faster than passive and active methods, the passive method's response time is longer than the active method's response time. Table 4 provides a brief comparison of islanding detection approaches based on response time [26]–[29]. Table 4. Comparison between IDMs based on response time. IDMs Response time Passive methods Very fast Active methods Slightly fast Hybrid methods Slow Remote methods Slow Signal processing methods Very fast Computational intelligent methods Fast 4. MULTI-CRITERIA DECISION ANALYSIS Multi-criteria decision analysis (MCDA) is a supervisory process that employs several methodologies and procedures for decision-making that can be used in complex decision-making situations involving many competing criteria. Numerous MCDA techniques have been suggested and documented in various research. The analytical hierarchy process (AHP) is one of these techniques, and it is regarded as a straightforward and acceptable technique that can offer a thorough resolution for islanding detection problems involving a variety of uncertainties and criteria. AHP is a decision support tool that may be used to rank choice alternatives on a numeric scale by establishing subjectively determined qualifications for intangible aspects.
  • 7.
     ISSN: 2088-8708 IntJ Elec & Comp Eng, Vol. 14, No. 3, June 2024: 2422-2435 2428 By analyzing operational performances under various scenarios, AHP is used to choose the best islanding detection methods for grid-connected DG systems. The following is the proposed hierarchical model for islanding detection technique selection based on AHP: i) The main goal of the problem is to find out the most appropriate islanding detection method; ii) The considered criteria for the decision are implementation cost, non-detected zone, power quality, and response time; and iii) The decision alternatives are passive methods, active methods, hybrid methods, remote methods, signal processing-based methods, and computational intelligent-based methods. The process begins with organizing a problem involving decision-making as an upside-down tree with the primary objective at the top. At the second level are sub-objectives that contribute to the primary goal. Every set at every level satisfies the goal of the level to which it is subordinate, and every partial target at the second level can be broken down into third-level objectives. In this article, these partial objectives are considered as criteria. At a lower level, each objective, or criterion, from the lower level is reached by ranking the options and comparing them pairwise. Pairwise comparisons are carried out at the fundamental scale shown in Table 5. The number of alternatives, n, is used to assemble a n×n matrix. Matrix A is supplemented with values 𝑎𝑖𝑗, where j is the alternative being compared with i and i is the basis alternative for comparison, corresponding to row i, considering a specific criterion. 𝐴𝑖𝑗 takes on the value of 5, which can be interpreted as a dominance of i over j, if the contribution of i to the criterion under consideration is highly significant in relation to j. Values in between the ones displayed can also be taken into consideration. The following significant associations are shown in the matrix using the procedure. Once the matrix is completed, the procedure looks for a vector that represents each alternative's priority for the taken into consideration criterion. The relationship between matrix A, its higher eigenvalue λ, and the related vector x is the first step in obtaining this vector of priority, x as (1): 𝑎𝑗𝑖 = 1 𝑎𝑖𝑗 ⁄ (1) when assessments are consistent: 𝑎𝑗𝑘 = 𝑎𝑖𝑘 𝑎𝑖𝑗 ⁄ (2) where 𝑘 and 𝑗 are two alternatives being compared to 𝑖. 𝐴𝑥 = 𝜆𝑥 (3) Every alternative is compared to every criterion, and every criterion at a given level is compared to the higher-level criterion with which it is related. At last, every first-level criterion is contrasted with the goal. By building matrices using the same methodology and scale as shown in Table 5, comparisons are made. Until the priorities of the alternatives against the overall objective have been determined, the priorities of the criteria are utilized as weights to compute the priorities of the alternatives in each criterion. Before calculating the priorities for each matrix with n alternatives, comparisons are made given relation 1 and the fact that the diagonal 𝑎𝑖𝑗 =1. The following are the steps for an AHP model: Step 1: Establish the hierarchy which contains three levels. Level 1 is the goal to achieve, level 2 is the criteria, and level 3 is the alternatives which are presented in Figure 6. Step 2: Create the matrix for pair-wise comparisons. As shown in Table 5, Saaty's nine-point scale serves as the foundation for each matrix component. The decision-makers assessment of the relative weight given to various factors is reflected in the comparison matrix. Step 3: Construct the input matrix as presented in Table 6. The scales in the input matrix are given based on the decision-makers. Step 4: Create the normalized matrix as presented in Table 7. To normalize the matrix, we divide the scale over the sum. Step 5: Calculate the criteria weight by adding each row of the normalization matrix divided by the number of alternatives as presented in Table 7. Step 6: Ranking the alternatives based on the calculated weight as presented in Table 8. To gather adequate data to assess whether the decision makers have made consistent decisions, consistency must be assessed. The consistency ratio as 𝐶𝑅 = 𝐶𝐼/𝑅𝐼, where 𝑅𝐼 is random inconsistency and 𝐶𝐼 is the consistency index of the comparison matrix, which are both equal to 𝐶𝐼 = (𝑛𝑚𝑎𝑥 − n)/ (n − 1) and
  • 8.
    Int J Elec& Comp Eng ISSN: 2088-8708  Use of analytical hierarchy process for selecting and prioritizing islanding … (Mohammad Abu Sarhan) 2429 𝑅𝐼 = 1.987(𝑛 − 2)/𝑛. For total inconsistency to be considered acceptable, the consistency ratio needs to be 10% or less. If not, judgment data quality needs to be raised. The overall consistency in this study equals 0.04 as shown in the following section. Figure 6. Flowchart of computational intelligent-based islanding detection methods Table 5. Pair-wise comparison matrix Intensity of relative importance Definition 1 Equally important 3 Moderately preferred 5 Strongly preferred 7 Very strongly preferred 9 Extremely preferred 2,4,6,8 Intermediate judgment between two adjacent judgments Table 6. Input matrix Initial Passive Active Hybrid Remote Signal processing Computational intelligent Criterion 1 Implementation Cost Passive 1 3 5 9 5 7 Active 1/3 1 3 5 3 5 Hybrid 1/5 1/3 1 5 1 7 Remote 1/9 1/5 1/5 1 1/7 1/3 Signal Processing 1/5 1/3 1 7 1 7 Computational intelligent 1/7 1/5 1/7 3 1/7 1 Sum 1.987 5.066 10.342 30 10.285 27.333 Criterion 2 Non-detected Zone Passive 1 1/5 1/5 1/7 1/9 1/9 Active 5 1 1/3 1/9 1/9 1/9 Hybrid 7 3 1 1/9 1/9 1/9 Remote 7 9 9 1 1/3 1/3 Signal Processing 9 9 9 3 1 1 Computational intelligent 9 9 9 3 1 1 Sum 38 31.2 28.53 7.37 2.67 2.67 Criterion 3 Power Quality Passive 1 9 7 1 1 1 Active 1/9 1 1/3 1/9 1/9 1/9 Hybrid 1/7 3 1 1/7 1/7 1/7 Remote 1 9 7 1 1 1 Signal Processing 1 9 7 1 1 1 Computational intelligent 1 9 7 1 1 1 Sum 4.254 40.000 29.333 4.254 4.254 4.254 Criterion 4 Response Time Passive 1 5 9 7 1 3 Active 1/5 1 5 3 1/5 1/3 Hybrid 1/9 1/5 1 1/3 1/9 1/7 Remote 1/7 1/3 3 1 1/7 1/5 Signal Processing 1 5 9 7 1 3 Computational intelligent 1/3 3 7 5 1/3 1 Sum 2.787 14.533 34.000 23.333 2.787 7.676
  • 9.
     ISSN: 2088-8708 IntJ Elec & Comp Eng, Vol. 14, No. 3, June 2024: 2422-2435 2430 Table 7. Normalized matrix Normalization Criterion 1 Implementation cost Passive Active Hybrid Remote Signal processing Computational intelligent Weight W% Passive 0.503 0.592 0.483 0.300 0.486 0.256 0.436667 43.66 Active 0.167 0.197 0.290 0.166 0.291 0.182 0.2155 21.55 Hybrid 0.100 0.065 0.096 0.166 0.097 0.256 0.13 13 Remote 0.055 0.039 0.019 0.033 0.013 0.012 0.0285 2.85 Signal processing 0.100 0.065 0.096 0.233 0.097 0.256 0.141167 14.11 Computational intelligent 0.071 0.039 0.013 0.1 0.013 0.036 0.045333 4.53 Criterion 2 Non-detected zone Passive 0.026 0.006 0.007 0.019 0.042 0.042 0.024 2.40 Active 0.132 0.032 0.012 0.015 0.042 0.042 0.046 4.60 Hybrid 0.184 0.096 0.035 0.015 0.042 0.042 0.069 6.90 Remote 0.184 0.288 0.315 0.136 0.125 0.125 0.196 19.6 Signal processing 0.237 0.288 0.315 0.407 0.375 0.375 0.333 33.3 Computational intelligent 0.237 0.288 0.315 0.407 0.375 0.375 0.333 33.3 Criterion 3 Power quality Passive 0.235 0.225 0.239 0.235 0.235 0.235 0.234 23.4 Active 0.026 0.025 0.011 0.026 0.026 0.026 0.023 2.3 Hybrid 0.034 0.075 0.034 0.034 0.034 0.034 0.041 4.1 Remote 0.235 0.225 0.239 0.235 0.235 0.235 0.234 23.4 Signal processing 0.235 0.225 0.239 0.235 0.235 0.235 0.234 23.4 Computational intelligent 0.235 0.225 0.239 0.235 0.235 0.235 0.234 23.4 Criterion 4 Response time Passive 0.359 0.344 0.265 0.300 0.359 0.391 0.336 33.6 Active 0.072 0.069 0.147 0.129 0.072 0.043 0.089 8.9 Hybrid 0.040 0.014 0.029 0.014 0.040 0.019 0.026 2.6 Remote 0.051 0.023 0.088 0.043 0.051 0.026 0.047 4.7 Signal processing 0.359 0.344 0.265 0.300 0.359 0.391 0.336 33.6 Computational intelligent 0.120 0.206 0.206 0.214 0.120 0.130 0.166 16.6 Table 8. Alternative ranking Criterion 1 Cost Weight (%) Ranking Passive 43.66 1st Active 21.55 2nd Hybrid 13 4th Remote 2.85 6th Signal processing 14.11 3rd Computational intelligent 4.53 5th Criterion 2 Non-detected zone Passive 2.40 5th Active 4.60 4th Hybrid 6.90 3rd Remote 19.6 2nd Signal processing 33.3 1st Computational intelligent 33.3 1st Criterion 3 Power quality Passive 23.4 1st Active 2.3 3rd Hybrid 4.1 2nd Remote 23.4 1st Signal processing 23.4 1st Computational intelligent 23.4 1st Criterion 4 Response time Passive 33.6 1st Active 8.9 3rd Hybrid 2.6 5th Remote 4.7 4th Signal processing 33.6 1st Computational intelligent 16.6 2nd 5. SOLUTION WITH EXPERT CHOICE The hierarchy is organized into three parts: the goal (Islanding detection method selection), criteria (cost, non-detected zone, power quality, and response time), and alternative (passive method, active method, hybrid method, remote method, signal processing-based method, and computational intelligent-based method), as shown in Figure 7. After the model is constructed, the elements are evaluated using a pair-wise
  • 10.
    Int J Elec& Comp Eng ISSN: 2088-8708  Use of analytical hierarchy process for selecting and prioritizing islanding … (Mohammad Abu Sarhan) 2431 comparison. Comparing the alternatives considering the criteria stated in Figure 8(a) cost, 8(b) non-detected zone, 8(c) power quality, and 8(d) response time; is how the pair-wise comparison is conducted with respect to each criterion. The judgements are input using Saaty's 1–9 scale, where every alternative that is compared to itself has a “1” value will show up in all alternatives of the major diagonal of any judgment matrix. Figure 7. Hierarchy Structure (a) (b) (c) (d) Figure 8. Pair-wise comparison with respect to (a) cost, (b) non-detected zone, (c) power quality, and (d) response time Priorities are computed when the pair-wise comparison is completed. Cost, non-detected zone, power quality, and response time are all given similar weights in this study regarding the main objective. However, the proprieties are determined based on the relative preference comparison for each criterion as shown in Figure 9(a) cost, 9(b) non-detected zone, 9(c) power quality, and 9(d) response time. The ideal mode, which uses normalization by dividing the score of each alternative solely by the score of the best alternative under each criterion, is used to combine the local preferences across all criteria to determine the global priority. As seen in Figure 10, the study's overall consistency is equivalent to 0.04. By slightly altering the input data to track the impact on the outcomes, the sensitivity analysis can be applied to decision-making. The findings are regarded as solid if the ranking stays the same. The interactive graphical interface depicted in Figure 11 is the ideal method for carrying out the sensitivity analysis. The sensitivity analysis shows that hybrid techniques have the lowest alternative and objective priorities (10% and 5%, respectively) when all criteria are given equal weight. and the highest alternative and objective priority (55% and 27%) are seen in signal processing-based techniques.
  • 11.
     ISSN: 2088-8708 IntJ Elec & Comp Eng, Vol. 14, No. 3, June 2024: 2422-2435 2432 (a) (b) (c) (d) Figure 9. Priorities derived from pair-wise comparison for (a) cost, (b) non-detected zone, (c) power quality, and (d) time response Figure 10. Global priorities using ideal mode Figure 11. Performance sensitivity 6. RESULTS AND DISCUSSION As illustrated in Figure 6, the criteria and alternatives are identified and then arranged in an AHP hierarchy. Subsequently, a pair-wise comparison matrix (PCM) or decision matrix is created based on the alternatives for each criterion. A value 𝐶𝑖𝑗, (𝑖 = 1, 2, . . . , 𝑛; 𝑗 = 1, 2, . . . , 𝑛) defined on Saaty's nine-point scale as presented in Table 5 is used to compare objectives i and j. Moreover, 𝐶𝑗𝑖 =1/c if 𝐶𝑖𝑗 = 𝑐. Based on a nine- point rating system, the value of 𝐶𝑖𝑗 is determined by how much an attribute is valued more highly for objective i than for objective j. As shown in Table 6, the diagonal element of PCM, 𝐶𝑖𝑗(𝑖 = 𝑗) (𝐶11, 𝐶22, . . . , 𝐶𝑛), denotes
  • 12.
    Int J Elec& Comp Eng ISSN: 2088-8708  Use of analytical hierarchy process for selecting and prioritizing islanding … (Mohammad Abu Sarhan) 2433 self-importance and its value is always 1. While building a PCM, a review of the research literature already in existence, discussions with experts in the field, and manufacturer reports can all be helpful resources for determining values 𝐶𝑖𝑗, (𝑖 = 1, 2, . . . , 𝑛; 𝑗 = 1, 2, . . . , 𝑛). Based on the relative assigning value for the alternatives, Table 6 illustrates the PCMs among the alternatives (objectives) regarding each criterion (attribute). In the PCM with respect to the first criterion (implementation cost) as presented in Table 6, the first row and first column 𝐶11 equals 1 (self-reference of passive methods), 𝐶12 = 3 = 1/𝐶21 (passive methods are moderately preferred than active methods or active methods are moderately less preferred than passive methods), 𝐶13 = 5 = 1/𝐶31 (passive methods are strongly preferred than hybrid methods), 𝐶14 = 9 = 1/𝐶41 (passive methods are extremely preferred than remote methods), and so on. The elements of PCMs are assigned in this manner. As demonstrated in Figure 9, Expert Choice software was utilized to calculate the weight factor for each of the alternatives for each criterion, complying with the AHP procedure, such as the weight given to passive methods (44.5%, 2.1%, 23.4%, and 34%), active methods (22.5%, 3.8%, 2.3%, and 8.5%), hybrid methods (12.7%, 5.5%, 4%, and 2.5%), remote methods (2.7%, 20.7%, 23.4%, and 4.4%), signal processing-based methods (13.5%, 34%, 23.4%, and 34%), and computational intelligent-based methods (4%, 34%, 23.4%, and 16.6%) based on the comparison criteria cost, non-detected zone, power quality, and response time respectively. As illustrated in Figure 10, the overall weight is calculated for each alternative such as the overall weight given to passive methods (24.7%), active methods (7.8%), hybrid methods (5.6%), remote methods (14.5%), signal processing-based methods (26.6%), and computational intelligent-based methods (20.8%) based on the comparison of all criteria together. Therefore, according to the overall weight it can be observed that signal processing-based methods are the most appropriate methods to be selected and the least one is hybrid methods. Additionally, the performance sensitivity shown in Figure 11 demonstrates that, when all criteria are given equal weight, hybrid methods have the lowest alternative and objective priorities (10% and 5%, respectively) and signal processing-based methods have the highest alternative and objective priorities (55% and 27%). The performance sensitivity analysis is dynamic, though, so each criterion's priority will adjust in accordance with whether the criteria are weighted unequal according to the designer's assessment of their relative importance. 7. CONCLUSION This paper offers a comprehensive analysis of several islanding detection methods. Traditional and modern approaches are used to detect islands. Traditional techniques include local (passive, active, and hybrid) and remote methods, whilst modern ones include signal processing and computationally intelligent methods. Passive methods' key tenet is to monitor changes in network parameters like voltage or frequency at PCC. Active techniques, which are based on perturbation injection, look at how injection affects system parameters. Active and passive strategies are used in hybrid techniques. For remote approaches to function, the utility side and the DGs side must exchange information and interact. Techniques based on signal processing use feature extraction as their cornerstone. Pattern recognition and data training are the core of computational intelligence methods. By contrasting the islanding detection methods based on a few factors, including implementation cost, non-detected zone, power quality, and response time, the AHP-based methodology is proved and proven in this work. Passive approaches are the best option to choose if the implementation cost criterion is the sole factor considered. Signal processing-based approaches or computationally intelligent-based methods are the most suitable options to choose if the non-detected zone criterion is the only factor considered. Passive, remote, signal processing-based or computationally intelligent solutions are the best ones to choose if the power quality requirement is the only factor considered. Passive or signal processing-based solutions are the best options to select if the response time criterion is the only factor considered. However, if these factors are considered, signal processing-based methods and passive methods may be the ideal ones to use. REFERENCES [1] F. Barkat et al., “Review, analysis, and performance evaluation of the most common four active methods for islanding detection in grid-connected photovoltaic systems,” Electric Power Systems Research, vol. 214, Jan. 2023, doi: 10.1016/j.epsr.2022.108909. [2] M. Abu Sarhan, “An extensive review and analysis of islanding detection techniques in DG systems connected to power grids,” Energies, vol. 16, no. 9, Apr. 2023, doi: 10.3390/en16093678. [3] M. Y. Worku, M. A. Hassan, L. S. Maraaba, and M. A. Abido, “Islanding detection methods for microgrids: a comprehensive review,” Mathematics, vol. 9, no. 24, Dec. 2021, doi: 10.3390/math9243174. [4] R. S. Kunte and W. Gao, “Comparison and review of islanding detection techniques for distributed energy resources,” in 2008 40th North American Power Symposium, Calgary, AB, Canada, 2008, pp. 1-8, doi: 10.1109/NAPS.2008.5307381. [5] C. Li, C. Cao, Y. Cao, Y. Kuang, L. Zeng, and B. Fang, “A review of islanding detection methods for microgrid,” Renewable and Sustainable Energy Reviews, vol. 35, pp. 211–220, Jul. 2014, doi: 10.1016/j.rser.2014.04.026. [6] K. N. E. Ku Ahmad, J. Selvaraj, and N. A. Rahim, “A review of the islanding detection methods in grid-connected PV inverters,” Renewable and Sustainable Energy Reviews, vol. 21, pp. 756–766, May 2013, doi: 10.1016/j.rser.2013.01.018.
  • 13.
     ISSN: 2088-8708 IntJ Elec & Comp Eng, Vol. 14, No. 3, June 2024: 2422-2435 2434 [7] A. Datta, A. Ray, D. Mukherjee, and H. Saha, “Selection of islanding detection methods based on multi-criteria decision analysis for grid-connected photovoltaic system applications,” Sustainable Energy Technologies and Assessments, vol. 7, pp. 111–122, Sep. 2014, doi: 10.1016/j.seta.2014.04.003. [8] I. V. Banu et al., “Passive anti-islanding protection for three-phase grid-connected photovoltaic power systems,” International Journal of Electrical Power and Energy Systems, vol. 148, Jun. 2023, doi: 10.1016/j.ijepes.2023.108946. [9] X. Xie, C. Huang, and D. Li, “A new passive islanding detection approach considering the dynamic behavior of load in microgrid,” International Journal of Electrical Power and Energy Systems, vol. 117, May 2020, doi: 10.1016/j.ijepes.2019.105619. [10] A. Abyaz et al., “An effective passive islanding detection algorithm for distributed generations,” Energies, vol. 12, no. 16, Aug. 2019, doi: 10.3390/en12163160. [11] M. S. Kim, R. Haider, G. J. Cho, C. H. Kim, C. Y. Won, and J. S. Chai, “Comprehensive review of islanding detection methods for distributed generation systems,” Energies, vol. 12, no. 5, Mar. 2019, doi: 10.3390/en12050837. [12] C. R. Reddy, B. S. Goud, B. N. Reddy, M. Pratyusha, C. V. Vijay Kumar, and R. Rekha, “Review of islanding detection parameters in smart grid,” in 8th International Conference on Smart Grid, icSmartGrid 2020, Jun. 2020, pp. 78–89, doi: 10.1109/icSmartGrid49881.2020.9144923. [13] N. Gupta, R. Dogra, R. Garg, and P. Kumar, “Review of islanding detection schemes for utility interactive solar photovoltaic systems,” International Journal of Green Energy, vol. 19, no. 3, pp. 242–253, Jun. 2022, doi: 10.1080/15435075.2021.1941048. [14] J. A. Cebollero, D. Cañete, S. Martín-Arroyo, M. García-Gracia, and H. Leite, “A survey of islanding detection methods for microgrids and assessment of non-detection zones in comparison with grid codes,” Energies, vol. 15, no. 2, Jan. 2022, doi: 10.3390/en15020460. [15] C. Rami Reddy et al., “Hybrid ROCOF relay for islanding detection,” Journal of Electrical Engineering and Technology, vol. 17, no. 1, pp. 51–60, Aug. 2022, doi: 10.1007/s42835-021-00856-9. [16] B. Hariprasad., P. Bharat Kumar, P. Sujatha, and G. Sreenivasan, “Island detection in inverter based distributed generation using a hybrid method,” in 2022 Second International Conference on Artificial Intelligence and Smart Energy (ICAIS), Feb. 2022, pp. 1702–1707, doi: 10.1109/ICAIS53314.2022.9742815. [17] M. A. Ajith and R. M. Shereef, “Islanding detection of inverter based distributed generations using wavelet transform and KNN,” in 2022 IEEE International Conference on Power Electronics, Smart Grid, and Renewable Energy (PESGRE), Trivandrum, India, 2022, pp. 1-6, doi: 10.1109/PESGRE52268.2022.9715940. [18] M. Tajdinian, H. Khosravi, H. Samet, and Z. M. Ali, “Islanding detection scheme using potential energy function based criterio,” Electric Power Systems Research, vol. 209, Aug. 2022, doi: 10.1016/j.epsr.2022.108047. [19] S. K. G. Manikonda and D. N. Gaonkar, “Comprehensive review of IDMs in DG systems,” IET Smart Grid, vol. 2, no. 1, pp. 11–24, Jan. 2019, doi: 10.1049/iet-stg.2018.0096. [20] S. C. Paiva, R. L. de A. Ribeiro, D. K. Alves, F. B. Costa, and T. de O. A. Rocha, “A wavelet-based hybrid islanding detection system applied for distributed generators interconnected to AC microgrids,” International Journal of Electrical Power and Energy Systems, vol. 121, Oct. 2020, doi: 10.1016/j.ijepes.2020.106032. [21] A. Taheri Kolli and N. Ghaffarzadeh, “A novel phase let-based approach for islanding detection in inverter-based distributed generation systems,” Electric Power Systems Research, vol. 182, May 2020, doi: 10.1016/j.epsr.2020.106226. [22] M. Shaik, A. G. Shaik, and S. K. Yadav, “Hilbert–Huang transform and decision tree based islanding and fault recognition in renewable energy penetrated distribution system,” Sustainable Energy, Grids and Networks, vol. 30, Jun. 2022, doi: 10.1016/j.segan.2022.100606. [23] N. A. Larik, M. F. Tahir, Z. M. S. Elbarbary, M. Z. Yousaf, and M. A. Khan, “A comprehensive literature review of conventional and modern islanding detection methods,” Energy Strategy Reviews, vol. 44, Nov. 2022, doi: 10.1016/j.esr.2022.101007. [24] I. Bhushan, S. Chandra, and A. Yadav, “A comprehensive portrayal of research drifts in islanding detection methods towards soft computing,” in 2022 2nd International Conference on Power Electronics & IoT Applications in Renewable Energy and its Control (PARC), Mathura, India, 2022, pp. 1-5, doi: 10.1109/PARC52418.2022.9726246. [25] S. S. Mohapatra, M. K. Maharana, A. Pradhan, P. K. Panigrahi, and R. C. Prusty, “Detection and diagnosis of islanding using artificial intelligence in distributed generation systems,” Sustainable Energy, Grids and Networks, vol. 29, Mar. 2022, doi: 10.1016/j.segan.2021.100576. [26] F. Mumtaz, K. Imran, A. Abusorrah, and S. B. A. Bukhari, “An extensive overview of islanding detection strategies of active distributed generations in sustainable microgrids,” Sustainability, vol. 15, no. 5, Mar. 2023, doi: 10.3390/su15054456. [27] A. M. M. Alyasiri and S. Kurnaz, “Passive islanding detection in microgrids using artificial neural networks,” Applied Nanoscience, vol. 13, no. 4, pp. 2885–2900, Apr. 2023, doi: 10.1007/s13204-021-02197-5. [28] Y. A. Elshrief, D. H. Helmi, S. Abd-Elhaleem, B. A. Abozalam, and A. D. Asham, “Fast and accurate islanding detection technique for microgrid connected to photovoltaic system,” Journal of Radiation Research and Applied Sciences, vol. 14, no. 1, pp. 210–221, Dec. 2021, doi: 10.1080/16878507.2021.1923913. [29] B. K. Panigrahi, A. Bhuyan, J. Shukla, P. K. Ray, and S. Pati, “A comprehensive review on intelligent islanding detection techniques for renewable energy integrated power system,” International Journal of Energy Research, vol. 45, no. 10, pp. 14085–14116, Apr. 2021, doi: 10.1002/er.6641. BIOGRAPHIES OF AUTHORS Mohammad Abu Sarhan received a B.S degree in electrical power engineering in 2013 from Al-Balqa Applied University, Amman, Jordan, and MSc in control science and control engineering in 2019 from China University of Geosciences, Wuhan, China. He is currently doing his Ph.D. in electrical engineering at AGH University of Science and Technology, Krakow, Poland. He worked as a technical engineer on many projects, particularly those involving the marine industry. He also lectured at the Jordan Academy for Maritime Studies, where he taught a variety of engineering and electrical power system courses. His research interests include renewable energy resources, smart grids, and electrical power systems control and optimization. He can be contacted at email: sarhan@agh.edu.pl.
  • 14.
    Int J Elec& Comp Eng ISSN: 2088-8708  Use of analytical hierarchy process for selecting and prioritizing islanding … (Mohammad Abu Sarhan) 2435 Andrzej Bien received PhD degree in electrical engineering from AGH University of Science and Technology in 1988. Main professional interests are related to measurements and measurement systems using fast signal processors, in particular applications related to electricity and its quality. Measurements and related research include broadly understood signal analysis, building new ways of measuring and new measures. In the last years of his professional activity, he worked on the analysis of signals related to non- stationary disturbances. Currently, he is the head of the Department of Power Electronics and Automation of Energy Processing Systems at AGH University of Science and Technology. He can be contacted at email: abien@agh.edu.pl. Szymon Barczentewicz received MSc and PhD degree in electrical engineering from AGH University of Science and Technology in 2012 and 2017 respectively. Since June 2018 he has been employed at AGH University as an assistant professor. During 2019–2021 he was a project manager of ERANET, RELflex “Renewable energy and load flexibility in small industry” project. Since 2023 he was working as innovation project manager at TAURON Dystrybucja (Polish DSO). His current research is focused on measurement systems used in power grids, with particular emphasis on issues related to synchro phasor measurements and the use of phasor technology in power quality problems. He can be contacted at email: barczent@agh.edu.pl.